阿摩線上測驗
登入
首頁
>
高考◆大氣動力學
> 105年 - 105 高等考試_三級_氣象:大氣動力學#54144
105年 - 105 高等考試_三級_氣象:大氣動力學#54144
科目:
高考◆大氣動力學 |
年份:
105年 |
選擇題數:
0 |
申論題數:
8
試卷資訊
所屬科目:
高考◆大氣動力學
選擇題 (0)
申論題 (8)
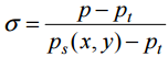
【已刪除】一、目前全球氣象模式的水平動量方程式在高度座標 z 可表示為
其中V(x, y,z,t)為水平風速向量,ρ(x,y,z,t)為密度, p(x,y,z,t)為氣壓,Fr 為亂流摩 擦混合項常表為
(K
m
為渦流的動量傳送係數)。試將此方程式(每一項)轉 換至σ 座標,
( p
t
為模式頂之氣壓設為常數, p
s
為地表氣壓)。(15 分)
二、⑴氣塊上升(下降)會產生絕熱冷卻(增溫),試以熱力學第一定律說明之。(10 分)
⑵說明飽和濕空氣塊上升會保守其相當位溫(equivalent potential temperature),由此 說明為何飽和濕空氣塊上升時降溫率會小於乾空氣的絕熱降溫率。(10 分)
三、恆定的(steady)強烈颱風大致呈梯度風平衡(gradient-wind balance),但常在最大 暴風處的邊界層頂附近出現超梯度風(super-gradient wind),試利用動量方程式解釋 之。(10 分)
四、何謂 Ertel 位渦(Ertel potential vorticity)?在何種情況下空氣塊須保守此位渦?請說 明位渦如何受到物理過程的作用而改變(生成或消減),試以副熱帶氣旋為例。(15 分)
五、試以小擾動的正壓渦度方程,決定羅士比波(Rossby waves)的頻散關係(dispersion relationship),並說明在均勻緯向西風下,對此固定不動的波(相對於地面),其群 速向東傳(造成下游擾動)。(15 分)
六、由尺度分析說明半地轉理論(semi-geostrophic theory)與準地轉理論(quasi-geostrophic theory)在動量方程式有何主要差異,並試利用半地轉模式來解釋跨鋒面環流 (cross-frontal circulation)之形成以及其中科氏力之作用。(15 分)
七、繪出 Lorenz 的四格能量圖(four-box energy diagram)(以北半球為例),解釋準地轉 緯向平均氣流與渦流二者之動能及可用位能之收支,其中有兩種能量不能直接轉 換,請說明。(10 分)
相關試卷
114年 - 114 公務升官等考試_薦任_氣象:大氣動力學#133182
114年 · #133182
114年 - 114 高等考試_三級_氣象:大氣動力學#128403
114年 · #128403
113年 - 113 高等考試_三級_氣象:大氣動力學#121506
113年 · #121506
112年 - 112 公務升官等考試_薦任_氣象:大氣動力學#117306
112年 · #117306
112年 - 112 高等考試_三級_氣象:大氣動力學#115412
112年 · #115412
111年 - 111 高等考試_二級_氣象:高等大氣動力學#110948
111年 · #110948
111年 - 111 高等考試_三級_氣象:大氣動力學#109426
111年 · #109426
110年 - 110 公務升官等考試_薦任_氣象:大氣動力學#103685
110年 · #103685
110年 - 110 高等考試_三級_氣象:大氣動力學#102397
110年 · #102397
109年 - 109 高等考試_三級_氣象:大氣動力學#88749
109年 · #88749