阿摩線上測驗
登入
首頁
>
教甄◆數學
> 106年 - 臺北市 106 學年度公立國民小學教師聯合甄選初試基礎類科知能試題-數學#68752
106年 - 臺北市 106 學年度公立國民小學教師聯合甄選初試基礎類科知能試題-數學#68752
科目:
教甄◆數學 |
年份:
106年 |
選擇題數:
5 |
申論題數:
0
試卷資訊
所屬科目:
教甄◆數學
選擇題 (5)
43班上 30 位學童的數學成績由低到高分為低分組、中分組、高分組各 10 人。若全班平均 72 分、低分組平均 55 分、高 分組平均 85 分,則中分組平均成績是幾分? (A)70 (B)72 (C)74 (D)76
44熊讚玩七巧板拼圖,如果全部面積是 1,熊讚用哪幾塊拼出的面積是
? (A)a+b+d+f (B)a+b+d+e+g (C)a+d+e+f+g (D)a+b+c+e+f+g
45二次函數
之圖形的頂點至x軸的距離為何?(A) 8 (B) 34 (C) 64 (D) 72
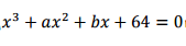
46 已知實係數方程式
的三根相同,問三根相同,問b的值為何? (A) 4 (B) 12 (C) 48 (D) 64
坐標平面上直線
坐標平面上直線
交x軸於A點,交y軸於B點。若O為原點,I為 三角形AOB 之內心,則 三角形AIO 的面積為何? (A) 1 (B) 3/2 (C) 2 (D) 5/2
申論題 (0)
相關試卷
115年 - 115-1 臺北市立大安高工教師甄選試題:數學科#138455
115年 · #138455
115年 - 115-1 國立臺灣師範大學附屬高級中學_專任教師甄選試題:數學科#138411
115年 · #138411
115年 - 115-1 國立臺灣師範大學附屬高級中學_專任教師甄選試題:數學科#138410
115年 · #138410
115年 - 115-1 國立臺灣師範大學附屬高級中學_專任教師甄選試題:數學科#138409
115年 · #138409
115年 - 115-1 臺北市立麗山高級中學_正式教師甄選試題:數學科#138397
115年 · #138397
115年 - 115-1 國立臺南一中_教師甄選初試試題:數學#138376
115年 · #138376
115年 - 115 國立嘉科實驗高級中學_國小部普通班教師甄選試題:數學#138356
115年 · #138356
115年 - 115-1 國立中央大學附屬中壢高級中學教師甄選試題:數學科#138235
115年 · #138235
115年 - 115 高雄中學正式教師甄選試題:數學科#138213
115年 · #138213
115年 - 115-1 國立中興大學附屬高級中學_正式教師甄試試題:數學科#138079
115年 · #138079