所屬科目:工程數學(應用數學, 線性代數、微分方程、複變函數與機率)
1 在三維空間中,點(7, ‒4, ‒5)到平面‒7x + 4y ‒ 4z ‒19 = 0 的距離為何? (A) (B)7 (C) (D)
2 設向量 u∈R3 , v∈R3 , w∈R3 ,其中 R3 = {(x, y, z)|x∈R, y∈R, z∈R},下列何者錯誤? (A)u.(u×v) = 0 (B)u×v = v×u (C)u×(v×w) = (u.w) v ‒ (u.v)w (D)(u+3v)×v = u×v
3 下列何者無反矩陣? (A) (B) (C) (D)
4 矩陣,且已知 trace( A) = 1, |A| = 0,則下列何者是 A的特徵值之一? (A)−1 (B)1− (C)2 (D)
5 已知 T : 為線性轉換(linear transformation)且其代表矩陣為 A,下列何者錯誤? (A)若 rankA = n,則 T 為一對一(one to one) (B)若 A 的行向量(column vector)可以生成(span),則 T 為映成(onto) (C)若 A 為奇異矩陣(singular matrix),則 T 為同構(isomorphic) (D)若 A 的行向量(column vector)彼此為線性獨立(linear independent),則 T 為一對一
6 設矩陣 A= ,向量 ,則為何? (A) (B) (C) (D)
7 求複變函數 4 W = 5+5i 之所有根(root)? (A) (B) (C) (D)
8 求 之積分值: (A) (B) (C)(D)
9 求 之留數(residue)之值為何? (A)0.5 (B)1 (C)2 (D)3
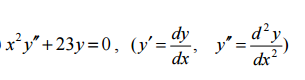
10 下列何者不為「尤拉-柯西」方程式(Euler-Cauchy Equation)? (A) (B) (C) (D)
11 設微分方程式 x′′(t) + 4x(t) = sin 3t 的解 x(t) 經過拉普拉斯(Laplace)轉換後為 ,下 列何者為正確之初始條件? (A)x(0) = 1, x'(0) = 0 (B)x(0) = 0, x'(0) = 0 (C)x(0) = 0, x'(0) = ‒1 (D)x(0) = 0, x'(0) = 1
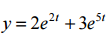
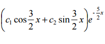
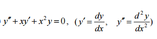
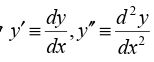
12 下列敘述何者正確? (A) 的通解為 ,其中 c1, c2為任意常數 (B) 的通解為 ,其中 c1, c2為任意常數 (C) 的通解為,其中 c1, c2為任意常數 (D) 5 4 0 2 x y′′ + xy′ + y = 的通解為,其中 c1, c2為任意常數
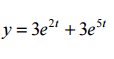
13 已知 ,下列何者可為此微分方程式的解? (A) (B) (C) (D)
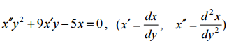
14 如以對中心點 x = 0 展開之 Frobenius 數列方式求解 ,則其所得到的指示方程式(Indicial equation)為何? (A) (B) (C) (D)
15 設微分方程式 y′′ + ay′ + by = 0 , 0 y(0) = y , 0 y′(0) = y′ 的級數解(series solution)為,試 求常數 a、b、y0及 y′ 0 之值,並判定下列何者正確? (A)(B) (C)(D)
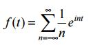
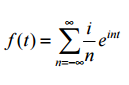
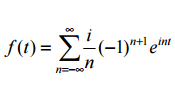
16 將週期函數 f (t) = t,−π ≤ t < π ,週期為 2π ,展開成傅立葉複係數級數: (A)(B) (C) (D)
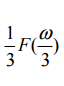
17 假設 f (t)的傅立葉轉換(Fourier Transform)式為 F(ω),試求 f (3t)的傅立葉轉換為: (A) (B)3F(3ω) (C)(D) F(3ω)
18 假設阿里山森林保護區共有 10 位職員,其中需要 5 位職員負責巡邏森林,2 位職員在辦公室裡負責行政 事務,而其他 3 位職員支援嘉義市,試問:此 10 位職員被分為這 3 組的方法有多少種? (A)2520 (B)1260 (C)840 (D)630
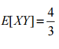
19 連續隨機變數 X 與 Y 之結合機率密度函數為(joint probability density function),試問下列何者正確? (A) (B)(C) E[XY] = 1 (D) E[XY ] = 5/ 6
20 假定 X 為一隨機變數,其機率密度函數(density function)為 ,求其期望值 E(X)為何? (A)‒3 (B)‒1 (C)1 (D)3
⑴試求矩陣 A 特徵值?
⑵試求矩陣 A 特徵向量?
⑶試求?
二、請證明T:R3 →R3 ,T(x, y, z) = (x + y, x ‒ y, z)是線性轉換(linear transformation)。
三、已知 f (z) = u (x, y) + iv (x, y)在整個複數 z = x + iy 平面可解析,同時 f (0) = 0 且 u(x, y) = y 3 ‒ 3x 2 y。求 f (z)。
四、求下列微分方程式的通解:=x2+1,x>0(其中)。