所屬科目:物理化學(包括化工熱力學)
一、空氣經噴嘴(nozzle)膨脹,從可忽略的初速到末速 350 m/s。試計算溫度降低幾度? 假設空氣為理想氣體, 。R 為氣體常數(8.314 J/(mol.K))。
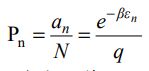
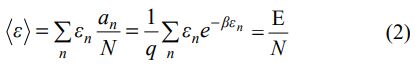
二、波次曼(L.Boltzmann)對於能量分布提出以下之關係:占領某一能階之粒子之機率為(1) 其中, 為占領第 n 階的粒子數,N 為全部粒子數, 為第 n 階的粒子能量,為分配函數(partition function)。此群粒子的平均能量可以表示成
試導證
⑴放電時的電池反應,
⑵△S。
四、若某一化學反應活化能為 42 kJ/mol,為克服其活化能,相當於需吸收多少波數(1/cm) 的入射光?(普郎克常數 h = 6.63 ×)
五、⑴試導一級反應與二級反應之反應百分率-時間方程式。
⑵試求 t = 時,兩個反應之個別反應百分率。
六、在 Joule 實驗,n moles 理想氣體對真空進行絕熱自由膨脹。試求△S 與初溫、終溫、 初體積、末體積等函數關係。