所屬科目:工程數學(應用數學, 線性代數、微分方程、複變函數與機率)
1 試求由三點P1(2, 2, 0) , P2(− 1, 0, 2) ,P3 (0, 4, 3) 所決定之三角形的面積: (A)6.5 (B)7 (C)7.5 (D)8
2 下列集合中之向量,何者為線性獨立(linearly independent)? (A){(3, 1, − 4), (2, 0, −1), (3, −1, 1)} (B){(1, 2, 0), (−1,1, 2), (3,1, 5), (0,1, −1)} (C){(1,1, − 2), (0,1, 0), (2,1, −1)} (D){(3,1, 0), (2, −1,1), (1, 0,1), (2,1, −1)}
3 一階微分方程式 之解為:(其中C 為常數。) (A) (B)(C)(D)
4 設 x、 y 、 z 為任意實數,下列選項何者恆為正確? (A) (B)(C) (D)
5 ,求cos A 。 (A)(B) (C)(D)
6. ,設,試求 f {A} 為何? (A) (B) (C)(D)
7 i = ,展開複數函數 f (z) = cosh(5 − 2i) 為: (A) f (z) = cosh 5cosh 2 − isinh 5sinh 2 (B) f (z) = cosh 5cos 2 − isinh 5sin 2 (C) f (z) = cos 5cosh 2 − sin 5sinh 2 (D) f (z) = cos 5cos 2 − isin 5sin 2
8 i = , ? (A) (B) (C) , n 為任意整數 (D) , n 為任意整數
9 假設C 為| Z| = 3 之逆時針方向的圓周,求 =?(i =) (A) 4π i (B)π i (C)9π i (D) − 2π i
10 假設微分方程式 y′ + 4y = cost 且 y(0) = 0,下列何函數不會出現在 y(t)的解之中? (A) (B)cost (C)sint (D) e−1
11 y′′ − 3y′ − 4y = 8x 2, y(0) = 1, y′(0) = 2,其中 ,則 y′′(0) =? (A)10 (B)6 (C)4 (D)0
12 設微分方程式 xy′′ + 2y′ = 6x ,且 y(1) =1, y′(1) = 2 ,則下列何者正確? (A) y(2) = 2 (B) y(−1) = −1 (C) y′(2) = −2 (D) y′(−1) = −2
13 設 x(t) 為之解,則 之值為何? (A)∞ (B)6 (C)0 (D) − 2
14 z 為複數(Complex variable),則 ?(i = ) (A) (B) (C) (D)
15 試求冪級數之收斂半徑。 (A)1 (B)2 (C)3 (D)4
16 求 之反拉普拉斯轉換。 (A) (B)(C) (D)
17 求, ,週期 p = 4之傅立葉級數(Fourier series)。 (A) (B) (C) (D)
18 給定一個隨機變數 x,其累積分布函數(cumulative distribution function),求機率 P(x ≤ 5 | x ≥ 2) 之值為何? (A) (B)(C) (D)
19 假設產品是否為不良品是互相獨立的事件。已知某公司所生產之手機的不良率為 1%,若此公司以 10 台 手機為一包裝銷售,且保證 10 台手機中最多只有 1 台不良品,否則就退貨。試求賣出包裝好的產品中退 貨的比例為多少?提示:(0.99)9 ≈ 0.9135 。 (A)0.2% (B)0.4% (C)0.6% (D)0.8%
20 設隨機變數(random variable) X 和 Y 的聯合機率密度函數(joint probability density function)為 ,則 之值為何?其中 E[Z] 定義為隨機變數 Z 的期望值。 (A)8 (B)16 (C)32 (D)64
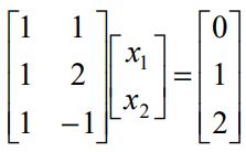
一、計算Ax = b 最小平方問題(least square problem)的解。
⑴求M 之特徵值(eigenvalue)。
⑵求矩陣P 以滿足MP 為對角矩陣(diagonal matrix)。
⑶求 M 4 。
⑴求常數a、b、 y 0 及 y′0之值。
⑵求微分方程式的解 y(t)。
四、每一次白努利試驗(Bernoulli trials)中,成功之機率為 p,失敗之機率為q =1− p , 則代表在 n 次獨立試驗中成功次數的二項式隨機變數 x ,其機率分布, x = 0,1, 2, 3,...., n。若 F(x)在x=x0處有極大值,x 0 之值為何?