阿摩線上測驗
登入
首頁
>
工程數學(應用數學, 線性代數、微分方程、複變函數與機率)
>
106年 - 106 高等考試_三級_電力工程、電子工程、電信工程、醫學工程:工程數學#63534
> 申論題
題組內容
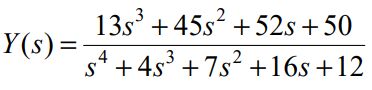
三、設微分方程式 y′′ + ay′ + by = −65sin 2t,y(0)=y
0
,y'(0)=y'
0
的解 y(t)的拉普拉斯轉換為
⑵求微分方程式的解 y(t)。
相關申論題
一、計算Ax = b 最小平方問題(least square problem)的解。
#254691
⑴求M 之特徵值(eigenvalue)。
#254692
⑵求矩陣P 以滿足MP 為對角矩陣(diagonal matrix)。
#254693
⑶求 M 4 。
#254694
⑴求常數a、b、 y 0 及 y′0之值。
#254695
四、每一次白努利試驗(Bernoulli trials)中,成功之機率為 p,失敗之機率為q =1− p , 則代表在 n 次獨立試驗中成功次數的二項式隨機變數 x ,其機率分布, x = 0,1, 2, 3,...., n。若 F(x)在x=x0處有極大值,x 0 之值為何?
#254697
(二)求得矩陣 A 之零空間(Null Space)N( A )。(10 分)
#557492
(一)求得線性方程式 Ax=b 之完整解(Complete Solution) 。(20 分)
#557491
四、假設週期函數f(x)之週期為 2π,f(x)=。計算f(x)之傅氏級數(Fourier Series)。(20 分)
#557490
三、求解以下初始值問題之常微分方程式:。 (20 分)
#557489
相關試卷
114年 - 114 專技高考_電機工程技師:工程數學(包括線性代數、微分方程、複變函數與機率)#133679
114年 · #133679
114年 - 114 專技高考_電子工程技師:工程數學(包括線性代數、微分方程、向量分析、複變函數與機率)#133677
114年 · #133677
114年 - 114 調查特種考試_三等_電子科學組:工程數學#129578
114年 · #129578
114年 - 114 國家安全情報特種考試_三等_電子組(選試英文):工程數學#127780
114年 · #127780
113年 - 113 專技高考_電子工程技師:工程數學(包括線性代數、微分方程、向量分析、複變函數與機率)#123976
113年 · #123976
113年 - 113 專技高考_電機工程技師:工程數學(包括線性代數、微分方程、複變函數與機率)#123971
113年 · #123971
113年 - 113 調查特種考試_三等_電子科學組:工程數學#122110
113年 · #122110
113年 - 113 身心障礙特種考試_三等_電力工程:工程數學#119517
113年 · #119517
112年 - 112 地方政府特種考試_三等_電力工程、電子工程:工程數學#118376
112年 · #118376
112年 - 112 專技高考_電機工程技師:工程數學(包括線性代數、微分方程、複變函數與機率)#117639
112年 · #117639