所屬科目:教甄◆化學專業/化工科
(1) 三聚氰胺(Melamine)
(2) 安非他命(amphetamine)
(3) 味精(麩胺酸鈉)
(4) 核糖
(5) 耐綸 6
(6) 壓克力
2. 如下圖,室溫下,在 A、B、C、D 四容器 (體積分別為 4L、3L、2L、1L)中各裝 2 atm , 2 atm ,3 atm 及適量的水 (室溫時水的飽和蒸氣壓為 38 mmHg)。 若 a、b、c 同時打開,容器 A、B、C 內的總壓為多少 atm ? (若此時仍有) (7)
3. 於 30℃時某硫酸銅溶液,加入 25 克的 CuSO4‧5H2O 或蒸發掉 55 克的水,均可得到飽和溶液,則在 30℃硫酸銅的溶解度為多少 g/100 g H2O? (8) (Cu=64,S=32)
4. 化學需氧量(COD)可用與氧化劑之消耗量相對應的氧量而定。今利用 0.01 M 的過錳酸鉀酸性溶液來滴定 10 mL 的污 水試樣需要消耗過錳酸鉀 4 mL。則此污水試樣的 COD 值為多少 ppm? (9)
(1) 血液在 pH=7.4 時,=? (10)
(2) 血液在 pH=7.0 時,運動後產生而又被消耗的乳酸(HL)最多為多少莫耳? (11)
(1) 溶液中=? (12)
(2)= ? (13)
(1) X 化合物的化學式。 (14)
(2) Y 化合物的化學式。 (15)
8. 某 1 升水溶液中含有 各 0.2 莫耳,欲使溶液中產生 Mg(OH)2 沉澱,至少需通入 NH3 多少莫耳? (16) (已知 Mg(OH)2 的 ,NH3 的 )
(1)求反應 R →P 之速率常數。 (17)
(2)若 R 之初濃度為 0.010 M,經 500 秒後,R 反應掉的百分比為多少? (18)
(1) 寫出 Q 的結構式。 (19)
(2) 寫出 R 的結構式。 (20)
(1) XY 之解離度為多少? (21)
(2) AB 之莫耳質量為多少? (22)
(1) 畫出 C 的結構圖。 (23)
(2) 寫出這些化合物中Pt(II)離子的混成軌域。 (24)
(3) 化合物 A 的立體形狀為 (25)
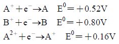
13. 已知下列各半反應之標準還原電位:
試求:電池反應 A+2B+ →A2+ +2B 之ΔE0 值為 (26) Volt。
14. 27℃、1atm 下,將定量的五氯化磷固體密封於 2 升容器中,升溫至 327°C 使五氯化磷完全氣化後達成 平衡,各物的濃度[PCl5]=0.5mole/L,[PCl3]=[Cl2]=0.25mole/L,則此反應在 327℃時之 Kp 為 (27) atm?
15. 設 N2O5 之分解反應為 ,已知反應開始後 200 秒, =0.222 M,又知反應開始後 400 秒,=0.196 M,試求 200 秒~400 秒 NO2 之平均生成速率為 (28) Ms
16. 已知在 25℃的水中, 醋酸的游離常數為 。 今在 25℃下有一升的 0.10M 醋酸溶液, 欲利用同離子效應來降 低醋酸的解離度至 0.01%以下, 至少需加入 (29) 莫耳的醋酸鈉。
17. 已知將 的電子從 1s 激發至 2s,所需能量為 3936 KJ/mol,則 He 的第二游離能為 (30) KJ/mol?
18. 有關順、反丁烯二酸的性質,下列敘述正確的有 (31) ?(寫代號即可)
32
33
34
35
36
21. 某物質 A 在一定條件下加熱完全分解,產物都是氣體。分解方程式為 2A →B+2C+2D,測得生成的混合氣體密度 為氫氣密度的 d 倍,則 A 的分子量為 (37) (以 d 表示)
22.工廠的廢氣以及汽機車的排氣是空氣污染的主要來源,但廢氣中的氮與氧的化合物可藉由適量的氨氣及催化劑,將 其還原成無毒的 N2 和H2O 。今有 NO 與 NO2 的混合氣體(簡稱為 )3.0 升,若用與 同溫同壓的氨氣 2.8 升, 恰好可使該 完全反應變成 N2 與H2O 。試問該混合氣體 中, NO 與 NO2 的莫耳比為 (38)
23. 氯有 35 及 37 兩種同位素,試問你在氯氣中找到一個分子量 71 的氯分子之機率為 (39)
24. 氰酸根(CN- )離子可藉由EDTA 滴定間接分析。將已知過量的加入含 樣品溶液中,可形成Ni(CN)4 2-離子, 反應如下:
25. 欲配製 pH =8.96 之 / NH3 緩衝溶液,則應在 250 毫升、0.20M 之 NH3 溶液中加入 (41) 克之 NH4Cl?(假設體積之變化可忽略) (NH4Cl 式量 = 53.5 ;NH3 之 pKb = 4.74;log2 = 0.3 )
26. 磷於中進行自身氧化還原反應,用作還原劑的磷,佔總磷量的 (42) ﹪
27. 奧士華法中欲製得濃度 63%,比重 1.4 的濃硝酸 1 升,需 1 atm、27℃之氨氣 (43) 公升(設氨氣為理想氣體)。
(1)以試紙檢驗速食店炸油的原理
(2)工業上製鉀是在高溫(850 ℃)下以液態鈉還原熔融的氯化鉀製得,試說明反應可以進行的理由。
(3)溼熱氣候條件下的淺海地區往往發現有厚層的石灰岩沉積,而在深海地區卻很少見到,試用平衡移動原理說明。
(4)索耳未法可製備碳酸鈉,但無法用類似原理製備碳酸鉀,試說明原因。
2. 已知 電極的標準還原電位為 E0 =0.80V,且電極的標準還原電位值 0.224V; 試計算 AgCl 的溶解 度積為何? (log2 = 0.301)
(1) 這溶液仍留有多少%的 ?
(2) 所溶入“適量”的 ; 此“適量”是指多少毫莫耳 ?