所屬科目:1.計算機原理 2.網路概論
一、多元程式規劃作業系統(Multi-Programmed OS)的程序狀態圖如下所示。 其中分派程式(Dispatcher)之功用為何?(15 分)
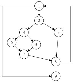
四、計算下列流程圖的循環複雜度(Cyclomatic Complexity)M。(10 分) (Hint:M = E – N + 2P, E = # of edges, N = # of nodes, and P = # of connected components)