所屬科目:教甄◆數學
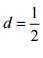
1.設四邊形 ABCD 為邊長 2 的正方形,E 點與 F 點分別為與 的中點,空間中 垂 直四邊形 ABCD,又 =1 ,求 D 點到平面 EFG 的距離? (A) (B)(C)(D)
2.設 a 、b 為正實數,如果 ,試求 ab = ? (A)512 (B)1024 (C)2048 (D)4096。
3.投擲一公正骰子三次,所得的點數依序為 a、b、c 。在 b 為偶數的條件下,行列式 > 0的機率最接近下列哪個選項? (A)0.33 (B)0.34 (C)0.35 (D)0.36。
4.設 a 、b 為實數,若 a + b = 2 ,試求的最大值? (A) (B) (C) (D)
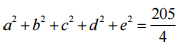
6.五個數 a、b、c、d 、e 均為實數,若且 時, 則 c 的最大值為 k,c 的最小值為 t ,下列選項何者正確? (A) k = 7 (B) k = 6 (C) t =-2 (D) t =-4。
7.令為坐標平面上兩向量。已*知 的長度為1, 的長度為2且之間的夾 角為 60° 。令,其中 x 、 y 為實數且符合以及 ,則內積 最大值為何? (A)14 (B)7 (C) -6 (D) -8。
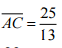
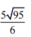
8.在△ABC中,已知 = 3、 ,∠C 為鈍角且△ABC的外接圓半徑為 ,則 cos ∠BAC =? (A) (B) (C) (D) 。
9.若,求的值? (A) 1 (B) -1 (C) (D)。
10.已知 ,當 k a = 時,積分 有最小值 b,則下列選項何者正確? (A) (B) (C) (D)。
11. ( ),數列 是等差數列, ,則下列哪些選項正確? (A)數列 是等 比數列 (B)若數列 的公差 d > 0 ,則數列的公比 (C)數列 的首項 ,公差 ,要使 ,則最小正整數 (D) ,公差,若,則。
12.全班 40 人參加數學、物理測驗,各科分數均為 0~100,已知數學平均 50,標準差 8 分, 物理平均 M,標準差 12 分,導師算得物理對數學的迴歸直線方程式為 ,則下 列哪些選項正確? (A)M=57.5 (B)數學與物理成績的相關係數是 0.5 (C)已知小王數 學考 80,則物理也一定考 80 (D)以算術平均數為中心,物理成績分布比較分散。
1. 若 ,且 ,求 θ=___________
2. 有一數列 ,若 ,且 ,求 a 30= _______。
3. 設為2018次的多項式,且,求= _________ 。
4. 無窮級數 的和為何? _________
5. 已知,設,則之值為_______________。
6. 由兩圖形所圍成的封閉區域(塗色部分),如右圖。若作直線L垂直x軸,分別與封閉區域的邊界交於P、Q兩點,試求在封閉區域內的長的最大值。
7. 試求 之值,其中[ ]為高斯函數。
8. 已知 m、n 為正整數,則滿足 的所有 n 的總和為多少?
9. 設數列滿足,其中。已知=________
1. 已知 ,若方程式有三實根,且 ,求不等式的解
2. 若複數 (其中 x 、 y 為實數),滿足,則 xy=?
3. 已知:利用極限的概念與二項式定理。試證: 。