所屬科目:研究所、轉學考(插大)◆統計學
1. [5 分]近年發生的一連串事件,讓某體育協會形象大受打擊。假設目前只有 30%的民 X 眾信賴該體育協會。又假設隨機抽取 n 人,其中信賴該體育協會的人數為 X 人,則 的抽樣分配趨近於常態分配。
(1)試證明;
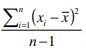
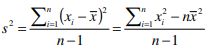
(2)試證明 s 2 = 為母體變異數的不偏估計式。
(1)試求 ANOVA 表;