所屬科目:分析化學(含儀器分析)
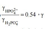
⑵在此離子強度下兩物種之活性係數比值為(活性係數), ,則該溶液之 pH 值為多少?(γH+ =0.86) (10 分)
⑶某未知含鉛物質經 4 次偵測後平均訊號為 0.356,請問其濃度以及不 確定度為何?(10 分)不確定度 其中,|m|為斜率之絕對值,k 為未知物 n‒2 的重複測量次數,n 為校正曲線上之數據點數目,為校正曲線上所有 y 值之平均,xi 為校正曲線上個別之 x 值,為校正曲線上所有 x 值之平均。