所屬科目:技檢◆數位電子-乙級
16. 如下圖,為一四位元的移位型暫存器,其輸出與輸入特徵為(A)串入串出 SISO(B)並入串出 PISO(C)並 入並出 PIPO(D)串入並出 SIPO。
32. 如下圖為(A)SSS(B)DIAC(C)SUS(D)SBS。
37. 如下圖所示,其應屬於下列何種編碼轉換電路?(A)Gray/BCD(B)Binary/Gray(C)Binary/BCD(D)BCD/Bi nary。
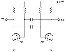
38. 如下圖達靈頓對(Darlington pair),其電路特質為?(A)異型 NPN 靈頓對(B)異型 PNP 靈頓對(C)同型 P NP 靈頓對(D)同型 NPN 靈頓對。
39. 如下圖為(A)單穩態電路(B)三態電路(C)非穩態振盪器(D)雙穩態電路。
42. 如下圖所示 Y 之結果為(A)(S'A)(S+B)(B)(S'+A)(S+B)(C)S'A+SB(D)S'A'+SB。
45. 如下圖所示之電路的輸入阻抗(Rin)與輸出阻抗(Rout)分別為(A)Rin→∞,Rout→0(B)Rin→∞,Rout →∞(C)Rin→0,Rout→∞(D)Rin→0,Rout→0。
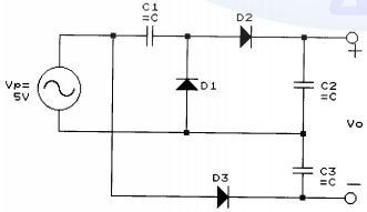
57. 如下圖,倍壓電路中,設 VD 為理想二極體,求直流平均輸出電壓V O 為若干?(A)-5V(B)0V(C)+10V(D) +5V。
61. 若 CMOSIC 之 為 10V, 為 0V,下列敘述何者正確?(A)若輸入電壓為 8V,可視為邏輯 1(B) 若輸入電壓為 6V,可視為邏輯 1(C)若輸入電壓為 4V,可視為邏輯 0(D)若輸入電壓為 2V,可視為邏 輯 0。
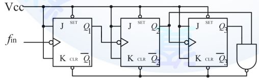
67. 如下圖所示計數器,下列敘述何者正確?(A)為強森計數器(Johnsoncounter)(B)為除 8 電路(C)為環型計 數器(Ringcounter)(D)為除 5 電路。
69. 下圖符號為何種元件?(A)Photocell(B)Thermistor(C)NTC 型溫度電阻(D)光敏電阻。
71. 下圖計數電路,何者敘述正確?
(A)Q3 的工作週期約 33.3%(B)為÷6 電路(C)Q1 的工作週期約 33.3%(D) 屬於非同步計數電路。
78. 有關電晶體直流參數之敘述,下列何者正確?(A) (B) (C) (D) 。