所屬科目:技檢◆測量-地籍測量-甲級
2. 已知 , ,設站於 A,以 B 為原方向,測得 P 點之水平角為 35°2 4'15",AP 距離為 20.12m,則等於多少?(A)-15.44m(B)15.44m(C)16.81m(D)-16.81m。
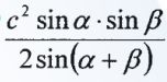
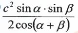
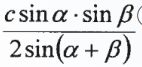
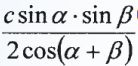
29. 已知三角形兩角為∠α 及∠β,夾邊為 c,其面積計算公式為(A) (B) (C) (D) 。
57. 下列何者為節能標章?(A) (B) (C) (D) 。