阿摩線上測驗
登入
首頁
>
奧林匹亞數學
> 107年 - 2018 年亞太數學奧林匹亞競賽-初選考試#80999
107年 - 2018 年亞太數學奧林匹亞競賽-初選考試#80999
科目:
奧林匹亞數學 |
年份:
107年 |
選擇題數:
0 |
申論題數:
9
試卷資訊
所屬科目:
奧林匹亞數學
選擇題 (0)
申論題 (9)
一、 (7分) 已知梯形 ABCD 內接於圓 O, AB || CD, 過點 D 作圓的切線交 CA 的延長 線於點 F, 且 DF || BC. 若 CA = 5, BC = 4. 試問: 線段 AF 的長 = _________ (化為最簡分數)
(1) (3分) 若 (x, y) = 1 (即, x, y 互質), 試問: k 的值。 答: ___
(2) (4分) 若 (x, y) = 4, (即 x, y 的最大公因數為 4), 試問: k 的值。 答: ______
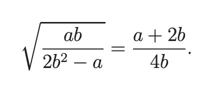
三、 (7分) 已知正整數 a, b 滿足
. 試問: |10(a − 5)(b − 15)| + 8 之值。 答: ____
四、 (7分) 將 1 ∼ 16 這 16 個正整數隨機地填入 4 × 4 棋盤的 16 個格子中 (每格填寫一 數)。 試問: 使每行、 每列填數之和皆為偶數的機率為多少? 答:____
五、 (7分) 設 (i) a1, a2, a3 成等差數列, a1 + a2 + a3 = 18; (ii) b1, b2, b3 成等比數列,b1b2b3 = 64. 若 a1 + b1, a2 + b2, a3 + b3 是正整數且成等比數列。 試問: a3 的最大值。 答:
六、 (7分) 設 ABCD 是單位正方形, E, F 分別是 CD, BC 的中點, AE 交對角線 BD 於點 P. AF 分別交 BD, BE 於點 Q, R. 試問: 四邊形 P QRE 的面積。 答:___
(1) (2分) 此時還有多少名同學面對教練? 答
(2) (5分) 面對教練的同學中, 自左至右第 66 位同學所報的數是多少? 答
相關試卷
108年 - 2019 年亞太數學奧林匹亞競賽-初選考試#80979
108年 · #80979
106年 - 2017 年亞太數學奧林匹亞競賽-初選考試#81668
106年 · #81668
104年 - 奧林匹克數學第28屆國一第一節#55402
104年 · #55402
102年 - 2013 年亞太數學奧林匹亞競賽-初選考試#82138
102年 · #82138