所屬科目:教甄◆汽車科
6. 某六缸四行程引擎,其缸徑X行程為80mmX90mm,當引擎轉速為2000rpm時,進氣 管的空氣流量計所偵測到的空氣流量為 ,試問目前該引擎的容積效率 大約為何?(環境條件為常溫,1atm) (A)64.8% (B)78.2% (C)81.5% (D)86.4%。
7. 某車起動線路如圖所示,當引擎起動時起動馬達無運轉現象,經檢查後,在起動開關 ST SWITCH ON的狀態下,其各點電位a-12V、b-12V、c-12V、d-0V、e-0V、 f-12V,則最有可能的故障為何? (A)起動開關不良 (B)起動繼電器搭鐵迴路不良 (C)檔位開關不良 (D)起動繼電器接點側易熔絲斷路。
14. 如圖所示,A工具的主要功能為何? (A)截斷傳動軸防塵套的固定鋼帶 (B)拉緊傳 動軸防塵套的固定鋼帶 (C)拆卸傳動軸防塵套的固定鋼帶 (D)拆卸傳動軸防塵套 的固定扣環。
15. 如圖所示修護手冊內文標註分解避震器時的注意事項為 (A)壓縮圈狀彈簧前,應確 認工具穩固的抓緊圈狀彈簧 (B)使用圈狀彈簧壓縮器前,應確認是否使用原廠指定 之特殊工具 (C)壓縮圈狀彈簧時,應平均鎖緊螺桿使圈狀彈簧平均受力 (D)壓縮 圈狀彈簧前,應確認圈狀彈簧壓縮器是否裝置在對角方向。
24. 如圖所示電瓶測試儀(BT-600),其夾頭由左至右分別為藍色-BODY EARTH、黑色 -BATT.NEG及紅色-BATT.POS。以此儀器進行起動馬達負載測試,則下列說明何者有誤? (A)檢測起動電壓降時僅須將紅色接頭接至電瓶正極,黑色接頭接至電瓶負 極即可 (B)檢測起動負載電流前須將電瓶負極線拆除,並以絕緣膠帶適當包覆搭鐵 線 (C)檢測起動負載電流時須將紅色接頭接至電瓶正極,黑色接頭接至電瓶負極, 藍色接頭接至車身搭鐵良好之位置 (D)起動馬達負載測試時須按下面板上之測試 鈕,且測試時間不可超過5秒。
30. 如圖所示之 R-L 串聯電路,求電感器兩端之電壓 VL 為 (A)40V (B)30V (C)20V (D)10V。
31. 有一R-C串聯交流電路,R=12Ω,XC=9Ω,外加電壓為120 sin(314t+30o ),則其 有效功率為? (A)0 (B)576W (C)768W (D)960W
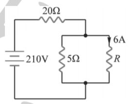
32. 如圖所示,求電阻R為消耗的功率為多少? (A)1 (B)3 (C)36 (D)108瓦特。
33. 如圖所示之懸臂樑,同時受到二力及一力偶之作用,試求此力系對 A 點之合力矩概 約為何? (A)275 Nm(順時針方向) (B)295 Nm(逆時針方向) (C)346 Nm(順時針 方向) (D)335 Nm(逆時針方向)。
34. 有一物體在高為 H 的大樓以水平方向等速拋出,若拋出一段時間後落地,其落點距 拋出點之水平距離為 S ,則物體拋出的初速度V0為何? (忽略空氣阻力、重力加速度為 g ) (A) (B) (C) (D) 。
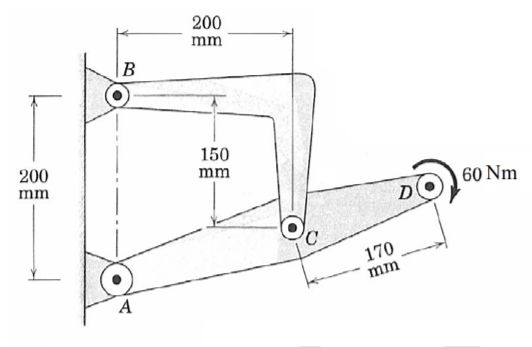
36. 如圖所示之結構樑 A、B 、C 三點均為銷接點,當在 D 點施予60Nm之力偶時,A點 之反力為何? (A)375N (B)396N (C)412N (D)436N。
37. 如圖所示之均質方塊置於摩擦係數為 µ 之水平面上,若在方塊側面施予一水平推力 F ,則下列何者正確? (A)不使物體產生滑動之最大推力, (B)不使物 體產生滑動之最大推力, (C)施予不使物體產生滑動之最大推力時,其不 使物體傾倒之最大高度, (D)施予不使物體產生滑動之最大推力時,其不 使物體傾倒之最大高度,。
39. 直徑為30公分之砂輪,以每分鐘180轉之速度旋轉,在砂輪外圓周上之磨粒,其向心 加速度為多少m/s 2 ?(註:約以10計算)(A)54 (B)64 (C)60 (D)48 m/s2
一、計算與問答題:(每題6分,共60分) 1.依下圖波形圖是TOYOTA車系的點火訊號及噴油嘴波形,試依波形計算目前引擎轉速。
4.如下圖所示,一對稱圓筒重600N,其垂直壁面為光滑面,圓筒與水平面之摩擦係數μs = 0.2,試求欲使圓筒不致產生轉動之最大P值為若干N?
8.如圖所示之搖臂 B、C、E 三點共線,若推桿以50N之力延 軸線上推,試求搖臂對汽門腳延 軸線之推力為何?