所屬科目:研究所、轉學考(插大)-微積分
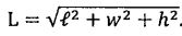
2.(10%) The length width w, and height h of a box change with time. At a certain instant the dimensions are= Im and w= h= 2 m, and t and ware increasing at a rate of 2 m/s while h is decreasing at a rate of 3 m/s. At that instant find the rates at which the length of a diagonal are changing. (The length of diagonal .)
3. (25%) Sketch the graphs of (You need to describe A: domain; B: intercepts; C: asymptotes(horizontal and vertical if any); D: intervals of increase and decrease; E: local maximum and minimum values; F: interval of concavity; G: point of inflection; H: sketch the curve)
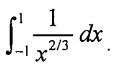
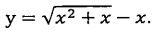
(a)
(b)
(c)
5.(20%) Given the series ,(a) find the series' radius and interval of convergence. For what values of x does the series converge (b) absolutely,(c) conditionally?
6. (15%) Sketch the region of integration, and evaluate the integral.∫∫R xydA where R is the region bounded by the lines y= x,y =2x,and x+ y=2.