所屬科目:鋼筋混凝土學與設計
一、一鋼筋混凝土 2 m 長懸臂梁與斷面如下圖所示,自由端受一點載重,靜 載重 PD = 4 tf,活載重 PL = 6 tf。斷面主筋配置 2-D32(db =3.22 cm, Ab = 8.14 cm2)與 1-D25(db =2.54 cm,Ab = 5.07 cm2),主筋 fy = 4200 kgf/cm2, 混凝土 fc ′= 210 kgf/cm2,不考慮梁本身自重下,按規範檢核梁彎矩設計 是否合適?(25 分)
二、梁斷面配置如下圖,其需要剪力 Vu= 14.4 tf,選用 2 股 D10(db =0.95 cm, Ab = 0.71 cm2)垂直肋筋為剪力鋼筋,剪力鋼筋 fyt = 2800 kgf/cm2,混凝 土 fc ′= 210 kgf/cm2,則按規範設計剪力筋配置。(25 分)
三、一 35 cm 寬×60 cm 深單筋矩形斷面懸臂梁,自由端受ㄧ單點荷重,懸臂長度 為 3 m,拉力筋面積為 10.13 cm2,鋼筋有效深度為 50 cm, fc ′= 210 kgf /cm2, fy =2800 kgf /cm2。當荷重加載使固定端拉力筋應力達 0.6 fy,求此時梁 自由端點所受荷重及即時撓度?(25 分) 參考公式:
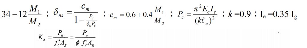
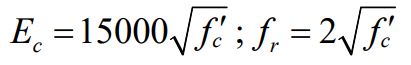
四、已知一柱淨高 7 m,50×50 cm 斷面,配筋方式為靠斷面兩邊設置,如下圖 斷面示意圖,其中從鋼筋中心起算之保護層厚 d’ = 7 cm。柱主筋採用 D32 (db =3.22 cm,Ab = 8.14 cm2),鋼筋 fy=4200 kgf/cm2,混凝土 c f ′=280 kgf/cm2。 柱設計軸力 Pu=180 tf,柱兩端設計彎矩 Mu1 = Mu2 = 40 tf-m,柱屬於一無 側向位移構件且受單彎曲形式。鋼筋採用續接器作續接,混凝土粗粒料 標稱最大粒徑為 2 cm。利用下列參考公式與設計圖設計柱主筋,求每邊 至少需幾根 D32 鋼筋,其中應說明柱主筋間淨距是否符合要求?(25 分) 參考公式: