所屬科目:工程數學(應用數學, 線性代數、微分方程、複變函數與機率)
1 令 u = i-j-k;v = -3i+4j+6k;w = -2i-4j+2k,則由 u,v 及 w 所形成的平行立方體(parallelepiped) 體積為何? (A) 9 (B) 9 (C) 18 (D)18
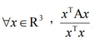
A = ,試問之最大值為何?(A)1(B)2(C)3(D)4
3 令矩陣 A = , P = ,且 P -1AP = D ,其中 D 為一3 3 對角矩陣(diagonal matrix),下列敘述何者正確? (A) a + b + c = 5 (B) a ✖ b ✖ c = 4 (C) a - b - c = 0 (D)
4 已知 A 為m ✖ n 矩陣且 rank{A}=r,下列敘述何者正確? (A) Ax=0 的解空間(solution space)維度(dimension)為m - r(B)若 m=n=r 且 x 為n✖1未知矩陣,則 Ax=0 存在唯一解(C)若 m=n=r,則 A 的列向量(row vector)彼此間都是線性相依(linear independent)(D)若 m>n>r,則 A 的列向量(row vector)彼此間都是線性獨立(linear dependent)
5 求矩陣有幾個線性獨立之特徵向量? (A) 1 (B) 2 (C) 3 (D) 4
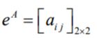
6 A = ,令 ,則a11 + a22 = (A) e - e2 (B) e + e2 (C) -e + e2 (D) 2e - e2
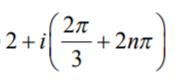
7 下列何者為(-64) 的複數根? (A) -1-i (B) -2 - i (C) -1- 2i (D) -2 - 2i
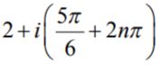
8 = ?(A) ,其中 n 為任意整數 (B) ,其中 n 為任意整數 (C) ,其中 n 為任意整數 (D) ,其中 n 為任意整數
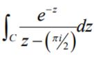
9 求 ,沿著路徑積分之值: (A) (i -1) (B) (i -1) (C) (i -1) (D) (i -1)
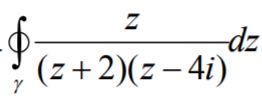
10 假設 f (z) = 1 ,求 之值,C 為| z - 2| = 1 之逆時針之圓周。 (A) 0 (B) 2π i (C) -2π i (D) 4π i
11 假設為微分方程式 的解,則a + b + c 為何? (A)-6 (B)-4 (C) 7 (D) 9
12 假設路徑C 是一逆時針的正方形,其各邊位於直線x =±2 和 y = ±2 之上。試求出 值為何? (A) 2π (B)π (C) -π i (D) 1
13 給定一組微分方程式 ,起始值為 x1 (0) = 0, x2 (0) = -1,則 = ? (A)-1 (B) 0 (C) 1 (D)無窮大
14 令,試求 F(s)之反拉普拉斯轉換(inverse Laplace transform) f (t) = L-1 {F (s)} ? (A)1- sin(t) + cos(t), t > 0(B) t + sin(t) - cos(t), t > 0(C)1+ t - sin(t) - cos(t), t > 0u (D)1+ t + sin(t) + cos(t), t > 0
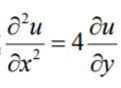
15 下列何者為偏微分方程式 的解?以下c1, c2 ,α 為常數。 (A) ,其中K = a2 y(B) ,其中K = a2 y(C),其中T = a2 x(D) ,其中T = a2x
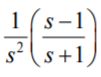
16 求之反拉普拉斯轉換為下列何者?(A) -2e-t + t + 2 (B) -2e-t - t + 2 (C) -2e-t + t - 2 (D) -2e-t - t - 2
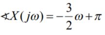
17 已 知 函 數 x(t) 其 傅 立 葉 轉 換 為且-∞ X ( jω) = 2(u(ω + 3) - u(ω - 3)) , ,其中方程式 ,請問 t 為下列何者時,x(t)=0?(A) (B)(C) (D)
18 一個盒子中有 30 顆 IC,劣品比率為 1/6,在某次實驗中取了 10 顆 IC,試問此次實驗所用的 IC 都是良品的機率為何?(A)(B)(C)(D)
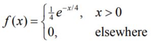
19 給定一個連續隨機變數 X,其機率密度函數為 ,試問一個隨機變數Y= 3 X- 2 ,則此隨機變數 Y 的變異數(variance) 為何? (A) 18 (B) 36 (C) 64 (D) 144
20 設有一連續隨機變數 X 具有機率密度函數 ,求其期望值。 (A) 1 (B) 2/3 (C) 3/4 (D) 4/5
一、求通解(general solution)為 的二次微分方程式,其中c 1 及c2 為任意常數。(10 分)
二、求週期為 2T 的函數, , 且 f(x+2T) = f(x) 拉普拉斯轉換(Laplace transform)。(15 分)
四、求 ,其中γ為| z |= 5 的圓。(10 分)
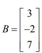
五、 及 , 求 x , 使得|| Ax - B || 最小( least square solution)。(10 分)