所屬科目:水文學
三、某一集水區土地利用 40%為建地、40%為草地、20%為農地,集水區內 A 類土壤占 50%,B 類土壤占 50%,有一場降雨共下了 10 cm,請以 SCS curve number 方法計算此場暴雨之逕流量。(20 分) 提示:SCS curve number 公式: ,P 為降水量, 集水區最大蓄水量(公制): ,CN 值如下表:
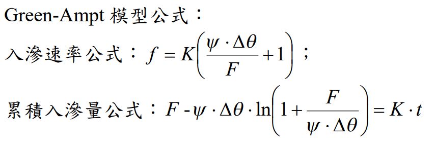
四、某入滲試驗場地,土壤孔隙率為 0.4,實驗開始時之土壤飽和度為 0.5, 入滲濕峰吸力ψ (wetting front suction)為未知,假設實驗數據符合 Green-Ampt 入滲模型,量測得到之入滲速率與累積入滲量如下表: 推求試驗場地之水力傳導係數 K 與入滲濕峰吸力ψ 。(20 分)
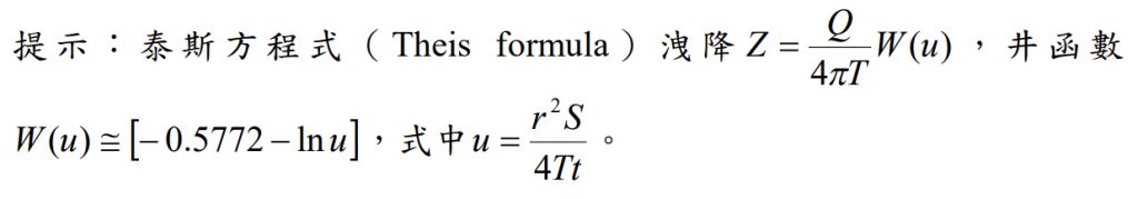
五、有一受壓含水層厚度為 30 m,水文地質鑽井資料顯示包含二種不同材 質,厚度分別為 10 m 與 20 m,抽水量固定為 300 liter/min,經 100 min 抽水後,在距抽水井 10 m 之觀測井,測得水位洩降為 6 m,經過 1,000 min 抽水後,觀測井水位洩降為 10 m,若已知 10 m 厚度材質水力傳導係數 為 20 m 厚度材質水力傳導係數之 5 倍,試計算二種材質之水力傳導係 數(m/day)。(20 分)