所屬科目:電力系統
二、請對下圖利用快速解耦電力潮流法(Fast decoupled power flow method)執 行二次疊(iteration)。圖上所標示的參數皆為標么值。(20 分)
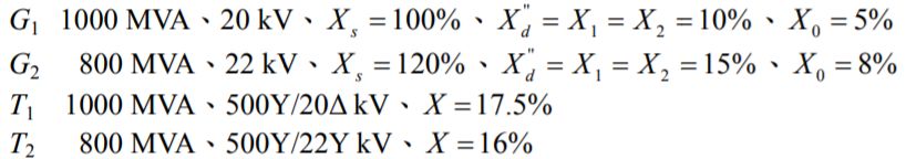
三、兩發電機 G1 與 G2 分別經由變壓器 T1 與 T2 連接至一高壓匯流排,並供電給輸電線路。線路於遠端的 P 點因故開路。開路電壓為 515 kV。系統各主要元件的參數如下: 線路 X1 =15% 、 X 0=40% 係以 1500 MVA、500 kV 為基準 G1 的中性點直接接地,G2 的中性點不接地。所有變壓器的高壓側及變壓 器 T2 的低壓側中性點皆直接接地,假設系統以 1000 MVA 為共同容量基 準及輸電線路上以 500 kV 為基準。忽略故障前的電流,試求在 P 點發 生三相故障,G1 的 C 相次暫態電流,以及在 B 相與 C 相發生線間 (line-to-line)故障,P 點的 B 相次暫態電流。(20 分)
四、如果電驛的保護區很小時,可以用電流的連續原理來作保護結構。下圖所示為發電機之一相繞組的保護區, I f ′為故障點的故障電流。試說明發電機繞組的差動保護動作原理。(20 分)
五、下圖所示的單線圖為一部發電機經由兩條並聯的輸電線路連接至一無限匯流排。此發電機傳送 0.8 標么的功率,且端電壓及無限匯流排電壓皆為 1.0 標么。圖上所標示的數字表示在一個共同系統基準上的電抗標么值。發電機的暫態電抗為 0.2 標么,如果其中一條輸電線路,在距離線路送電端 30%線路長度之處發生三相故障,假設發生故障時,H = 5.0 MJ/MVA,系統頻率為 60 Hz。如果該故障在發生後的 4.5 週期時,同時 開啟故障線路兩端 之斷路器而予 以清除, 試求 功率 - 角度方程式 (Power-Angle Equation)。(20 分)