所屬科目:教甄◆數學
4、在一球體 R 中內接一個正方體,過球心做出一截面,此截面不可能出現哪種圖形? (A)圓內接正方形 (B)圓內正方形 (C)圓內接長方形 (D)圓內長方形
6、下面哪一個矩陣的秩(rank)等於 3? (A) (B) (C) (D)
9、若 x、y 皆屬於實數,且,,則下列選項何者正確?(A) 2≤ x2 + y2 ≤ 5 (B) 0 ≤ x2 + y2 ≤ 17 (C) 2≤ xy ≤ 4 (D) −8 ≤ xy ≤ 4
10、請計算= ? (A) 2017×2018+9 (B) 2016×2019+1 (C) 20192-8 (D) 20162+1
12、下圖為棋盤形的街道,想從 P 點沿著格線走到 Q 點,請問共有幾種捷徑? (A) 15 (B) 30 (C) 56 (D) 72 種
14、若 a 與 a+4 為異號的兩實數,且均為方程式x2+ |x| + 6k = 0的解,則 k=? (A)(B) −1 (C)(D) 2
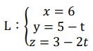
15、空間中有一直線,t ∈ ℝ,則下列敘述何者正確?(A) L 平行於x軸 (B) L 平行於 yz 平面 (C) L 垂直於 xy 平面 (D) L 垂直於平面 2x - y + z = 6
16、在坐標平面上,若動直線 x = k 與兩函數圖形 y = 2cos x 和 y = 4sin x 分別交於 A、B 兩點,則 的最大值為何? (A) 2 (B) 2√3 (C) 3√2 (D) 4
17、在 △ABC 內部找一點 O,使,則 O 點是△ABC 的? (A)外心 (B)內心 (C)重心 (D)垂心
18、若(x,y)在單位圓上,則 2x2-4y2的最大值為多少? (A) (B) 1 (C)(D) 2
19、試求之值?(A) (B) 0 (C) (D) ∞
22、將牌點為 A(即 1)、2、3、4 之撲克牌各 3 張的牌面全部朝下,經任意混合洗牌後堆成一含 12 張牌的牌疊 P。隨機從牌疊 P 中抽出 4 張牌,會出現牌點數都互異的機率是多少? (A) (B) (C) (D)
24、=? (A)(B) (C)(D)
26、M、O、N、E、Y 等 5 人是一家人,Y 身上沒錢,而其它 4 人有錢。M、O、N、E 依序把自己身上的錢之分給 Y。若他們 4 人分給 Y 的錢之數目都相同,則 Y 現有的錢佔全部 5 人的總額的比值是多少? (A) (B) (C) (D)
27、如圖所示,圓的周長是 且圓心即是正方形的中心。若正方形外部與圓內部所 圍成的區域面積總和,和正方形內部與圓外部所圍成的區域面積總和相等,則正方 形的對角線有多長? (A)2 (B) 2√2 (C) 2√
30、在坐標平面上,若 P、Q 兩點之坐標分別是 P(9,0)、Q(12,0),點 R 與點 S 在直線 y=x 上,且直線 PR 與 直線 QS 相交於點 E(8,2),則有多長?(A) 2 (B) 2√2 (C) 3 (D) 3√2
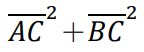
31、令 A、B 兩點為二元一次方程式 4x+3y − 12 = 0 在直角坐標平面上之圖形 L 與兩坐標軸的交點。若 C 是圖形 L 上使得之數值為最小之點,則 之最小值是多少? (A) 7.5 (B) 10 (C) 12.5 (D) 15
33、令 f(x)= 3x2 + 6x - 9,M 與 m 依序表示 f ( x ) 在 |x| ≤ 5 之最大值與最小值,則 M - m = ?(A)84 (B)96 (C)105 (D)108
34、阿鈞隨機投擲 2 個 10 元硬幣,阿禔隨機投擲 3 個 10 元硬幣 ,則兩人出現人頭(即正面)之個數都相同 的機率是多少? (A)(B)(C)(D)
36、若二次函數 x = ay2 + by + c 與 x = −2y2 + 8y + 6的圖形對稱於 y 軸,點 A 與點 B 為這兩個函數圖形的交
點,則= ?(A) 4 (B) 2√5 (C) 2√6 (D) 2√7
37、下列那一個是計算 ÷ 0.625 – 12 ÷(−4.8)的正確答數? (A)6.8 (B)5.3 (C) −0.3 (D) −3.6