所屬科目:技檢◆測量-地籍測量-甲級
5. 繪製都市計畫樁位圖時,公共設施用地界樁之符號為何?(A) (B) (C) (D) 。
19. 依「基本測量實施規則」規定,以精密導線測量方法實施加密控制測量之方位角閉合差不得超過 多少?(N 為測站數)(A)20" (B)40" (C)30" (D)10 " 。
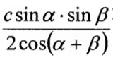
20. 已知三角形兩角為∠α 及∠β,夾邊為 c,其面積計算公式為 (A) (B) (C) (D) 。
41. 依辛浦生(Simpson)公式計算拋物線與其弦所圍之面積,等於其外接平行四邊形面積之若干〈如 下圖〉?(A)二分之一(B)二分之三(C)三分之一(D)三分之二。
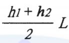
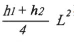
44. 不平行四邊形之宗地,從對角線分為二個三角形,三角形之共同底邊為 L,兩高為 h1、h2(如下圖)。 則其面積計算式為何?(A) (B) (C) (D) 。
54. 三角形 A,B,C 之坐標分別為、,問∠ACB 等於多少?(A)75°57 '49.5"(B)57°57 '49.5"(C)14°02 '10.5"(D)45°02 '10. 5"。
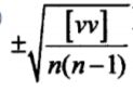
58. 下列何計算成果為觀測值之標準誤差([]表總和)?(A) (B) (C) (D) 。