所屬科目:研究所、轉學考(插大)◆有機化學及無機化學
1. Which of the following will not be the major product for the following reactions below? (A) (B) (C) (D) (E)
2. Which reaction will not give the desire product? (A) (B) (C) (D) (E)
3. Which reaction conditions are not appropriate for the following transformation?
(A) Zn (Hg) / HCl (B) H2NNH2 / NaOH (C) NaNH2, NH3 (D) HSCH2CH2CH2SH / H+, then H2 / Ni (E) 1. NaBH4; 2. TsCl, 3. LiAlH4
4. Which of the following statements best indicates the most probable outcome?
(A) 1 and 2 give A as major product (B) 1 and 2 give B as major product (C) 1 give A and 2 give B (D) 1 give B and 2 give A (E) 1 and 2 give A and B complex mixture
5. Which of the following reactions will not give rise to racemic mixture or chiral product? (A) (B) (C)(D)(E)
6. Which of the following reactions is thermally allowed?
I II
IIIIV
(A) I, II (B) II, III (C) III, IV (D) II, III, IV (E) IV
7. Which is the most probable main product of the following reaction?
(A) (B)(C) (D) (E)
8. Which is the main product of the following reaction?
(A)(B)(C) (D) (E)
9. In which of the following reaction give the incorrect desire product? (A) (B)(C) (D)(E)
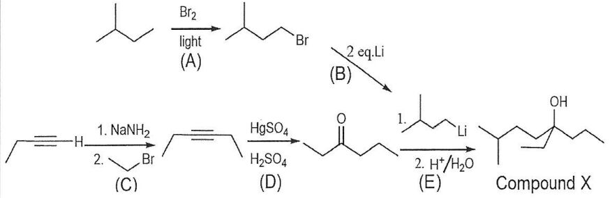
10. Below is a proposed synthesis of compound X. Which step would not work.
11. Which of the following Newman projections represents meso-2,3-dibromobutane?
(A) I (B) II (C) III (D) IV (E) I and IV
12. Which structure shown below is consistent with the following NMR spectrum?
(A)(B) (C)(D)(E)
13. What are the effective nuclear charge Z* on a 5f, 6d, and 7s in a uranium atom? (A) 14.3, 2.0, 3.0 (B) 15.3, 3.0, 2.0 (C) 12.3, 2.0, 2.0 (D) 13.3, 3.0, 3.0
14. The reaction A → B + C is known to be zero order in A with a rate constant of 4.8 × 10-2 mol/L·s at 25°C. An experiment was run at 25°C where [A]0 = 2.0M. What is the concentration of B after 4.0 s? (A) 1.8 M (B) 5.5 × 10-1 M (C) 1.1 × 10-1 M (D) 1.9 × 10-1 M
15. For As2P2, what are the irreducible representations for experimentally observed Raman bands?
(A) 3A1+A2+B1+B2 (B) 2A1+2A2+B1+B2 (C) 2A1+A2+2B1+B2 (D) A1+A2+B1+3B2
16. What is SALC of b2u molecular orbital consisted of four p orbitals in cyclobutadiene?
(A) χ1+χ2+χ3+χ4 (B) χ1+χ2-χ3-χ4 (C) χ1-χ2+χ3-χ4 (D) χ1-χ2-χ3-χ4
17. What is the enthalpy of formation of MgO, which crystallizes in the NaCl lattice (use the Born-Haber cycle to calculate). Use these data in the calculation: O2 bond energy = 494 kJ/mol; ΔHsub(Mg) = 37 kJ/mol. Second ionization energy of Mg = 1451 kJ/mol; second electron affinity of O = -744 kJ/mol. (A) 2352 kJ mol-1 (B) -3934 kJ mol-1 (C) -1341 kJ mol-1 (D) 1341 kJ mol-1
18. The half-life of 14C is 5730 years. A sample taken for radiocarbon dating was found to contain 56 percent of its original 14C. What was the age of the sample? (Radioactive decay of 14C follows first-order kinetics.) (A) 2.2 × 10^3 (B) 3.1 × 10^2 (C) 4.8 × 10^3 (D) 1.1 × 10^4
19. Which of the following is the free ion terms of d2 configuration? (A) 3G, 1F, 1D, 3P, 1S (B) 1G, 3F, 1D, 3P, 1S (C) 3G, 1F, 1D, 1P, 3S (D) 1G, 1F, 1D, 3P, 3S
20. Which is the correct splitting pattern of d orbitals for [CuCl5]3- energetically? (A) dxz = dyz < dz2 < dxy < dx2-y2 (B) dxz = dyz < dxy < dz2 < dx2-y2 (C) dxz = dyz < dx2-y2 = dxy < dz2 (D) dxy = dx2-y2 = dxz = dyz < dz2
21. The 14N and 15N derivatives of TpOs(NS)Cl2 [Tp = hydrotris(1-pyrazolyl)borate, a tridentate ligand] have been prepared. The 14N derivative has a nitrogen-sulfur stretch at 1284 cm-1. Predict the N-S stretch for the 15N derivative. (A) 1314 cm-1 (B) 1254 cm-1 (C) 1224 cm-1 (D) 1194 cm-1
22. Which of the following step is NOT included in the hydroformylation (oxo) process? (A) β elimination (B) Addition of CO (C) Alkyl migration (D) 1,2-insertion
1.
2.
3.
4.
5.
三、
1.Shows a mechanism for the a-bromination of a methyl ketone with bromine in acetic acid. (Include all the lone-pair of electrons)
四、
1. Please give the step-by-step reaction mechanism of water gas shift reaction using Ru(bpy)2Cl2 as a homogeneous catalyst.
(a) Please construct the molecular orbital diagram of CO step by step with orbital contour for each. molecular orbital (Potential Energy of C(2s): -19.43; C(2p): -10.66; O(2s): -32.38; O(2p): -15.85; H(1s): -13.61 eV)
(b)Briefly explain the information provided by its photoelectron spectrum of CO including the. meaning of fine structure of photoelectron spectrum in terms of bonding and antibonding characters as well as the difference of the intensity in terms of overlapping of vibrational wavefunction