所屬科目:研究所、轉學考(插大)◆有機化學及無機化學
1. A student synthesized Vitamin C and got a pair of enantiomers (d- and I-ascorbic acid). The specific optical of the synthesized Vitamin C is +10°. What is the percentage of I-ascorbic acid in the synthesized Vitamin C, given that the specific rotation of I -ascorbic acid: +20°? (A) 100% (B) 25% (C)50% (D)75% (E)0%
2. Which of the following is an aprotic solvent? (A) (B) (C) (D) (E)H2O
3. Which of the following alkyl chlorides would afford the indicated product upon reaction with NaOH?(A)(B)(C)(D)
6. Predict the product(s) of the following reaction?(A)(B)(C)(D)
7. The major product for the following reaction: (A) (B) (C) (D)
8. Predict the major product for the following reaction:(A)(B)(C)(D)
9. Which one of the following compounds is aromatic?(A)(B) (C) (D)
11. Which of the following reagents could not be used to carry out the following transformation? (A)Zn(Hg), HCl (B) LiAlH4, ether (C) HSCH2CH2SH, BF3; then Raney Ni (H2) (D)1. NH2NH2//H+ 2. KOH/H2O/heat
14. Which of the following has the largest ionic radius? (A) (B)F- (C) Na+ (D) (E)
17. Which is a π-donor? (A) BeH2 (B) BH3 (C) CH4 (D) NH3 (E) OH2
19. The point group of Ni(CO)4 is (A) (B) (C) (D) (E) Td
20. Trien is a linear tetradentate polyamine. Which one is achiral? (A) [a-Co(trien)Cl2]+(B) [β- Co(trien)Cl2]+ (C) [γ-Co(trien)Cl2]+ (D) [trans-Co(trien)Cl2]+(E) none of the above
22.What is the ground state electron configuration of? (A) [Ar]4s23d3(B) [Ar]4s24d3 (C) [Ar]4s13d4 (D) [Ar]4s14d4 (E) [Ar]3d5
23. The ground term of electron configuration of(A) (B) (C)2E (D) (E) 2Eg
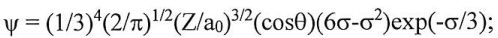
24. The wave function for an orbital is expressed as where σ = Z●r/a0 and a0 = 0.529 . What is this orbital? (A) 2s (B)2px (C) 3pz (D) (E) none of the above
25. Which has a bond order of 1.5? (A) (B) (C) (D) (E) none of the above
26. In Mo(CO)6, the o interaction (in unit of eσ) of with one CO lying on the xy plane is (A) 0 (B)1/4 (C)1/3 (D) 3/4 (E) 1
27. In Mo(CO)6, the π interaction (in unit of eπ) of with one CO l ying on the xy plane is (A) 0 (B)1/4 (C)1/3 (D) 3/4 (E) 1
28. The ligand field stabilization energy (in unit of △o) of is (A)0(B)-0.4 (C) -0.6 (D) -2.4 (E) none of the above
29. The HOMO of is (A) only (B) only (C)(D) and (E)
30. has a magnetic moment (in Bohr magneton) of (A) 0(B) 0.7 (C) 1.4 (D) 2.8 (E) 3.5
31. Which of the following shows the strongest Jahn-Teller effect? (A) (B) (C) (D) (E)
32. In UV-vis spectroscopy, gives absorption bands of (A) only d-d transition (B) only LMCT (C) only MLCT (D) all of the above (E) LMCT and MLCT
(b)
(c)
(d)
(e)
(a)
(f)
(g)
(h)
6. The synthesis of the following compound using malonic ester synthesis. (4%)