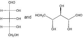
8. Describe the number of signals and their splitting in the 1H NMR of the following compound:
(A) 7 signals: 1 singlet, 2 doublets, 1 triplet, 3 quartet (B) 6 signals: 1 singlet, 3 doublets, 1 triplet, 1 quartet (C) 7 signals: 4 doublets, 2 triplet, 1 quartet (D) 7 signals: 1 singlet, 4 doublets, 1 triplet, 1 quartet (E) 8 signals: 2 singlet, 4 doublets, 1 triplet, 1 quartet