所屬科目:教甄◆數學專業
三、請寫出下列各題的解法過程? (只有正確答案,沒有過程給 2 分) 1. 正三角形的三個頂點都在拋物線 y =2x2 上,而且其中一邊所在的直線 的斜率為 2,這三個頂點的 x 坐標總和為 ,其中 m,n 為互質的正整數, 則 m+ n 之值為何? (6 分)
3. 設一數列 < an > 定義如下: a1=1 ,對於 n≥ 2, a n為 n - ak2 ( 1≤ k < n ) 之 中最小的正整數。例如: , a4 為 4 + a12 、 4 - a22 、 4 - a32 之中最小的正整數,所以 a4 = 3, 求 a52 + a100 + a143 = ? (6 分)
4. 設 Z 為複數,在複數平面上,一個正六邊形依逆時針方向的連 續三個頂點為 Z 、原點 O、 Z +5- 2 (其中 i = ),則 Z =? (6 分)
四、請寫出下列各題的解法過程? (只有正確答案,沒有過程給 2 分) 1. △ABC 的各邊長均為正整數,且= ,設∠B 與 ∠C 的內角平分線交 於 I 點,且 = 8,則 △ABC 周長的最小值為何? (6 分)
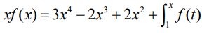
3. 設 f ( x) 為 實 係數 多項式函數, 對 於 x ≥1 恆成立,求(1) f '(x) (2) f (x) (各3分,共6分)
(2)夜市的彈珠檯遊戲如右圖,若每次彈珠均由入口 O 進 入,由 ABCDE 五個出口掉出,已知彈珠在各分支處 選擇前進方向的機率相等。 若每局遊戲可丟 80 顆彈珠,一次丟一顆使彈珠與彈珠 間互相不影響,80 顆丟完後,若有 X 顆彈珠由出口 C 掉出,則可得 X 元獎金;若重複此遊戲多局之後,所 得獎金 X 的平均數為 μ,標準差為 σ,則數對 (μ,σ)= ?