所屬科目:研究所、轉學考(插大)◆統計學
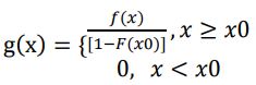
1. 設 X 為隨機變數其 pdf f(x) 和 cdf F(x). For a fixed number x0, define the function . Pove that g(x) is a pdf.
3. 若X1 , X2 , . . , 是 iid 且服從指數分配其 PDF ∶ f(X; θ) = , X > 0, θ > 0 , 求 θ 之 UMVUE (uniformly minimum variance unbiased estimator).
7. 若X1 , X2 , . . , 是 iid 且服從 N(θ1 , θ2 ),請利用最大概似法(MLE)求(θ1 , θ2 )之估計。