所屬科目:教甄◆理化專業
3. 兩個相同的載電流圓形導線,若電流大小均為I且方向相同,平行排列如圖所示,則在兩線圈圓心連心線中點處的磁場為? (A) (B) (C) (D) (E)
6. 阿特午得機中兩物體質量分別為M1=2m、M2=m,滑輪和線均極輕,沒有摩擦。開始時Mi在離水平 面高為h的高度,而M2在水平面上,不在滑輪上的 線是豎直的。然後無初速釋放兩物體,求當第一 個物體與地面發生完全非彈性碰撞後再上升的最大高度為?(線可認為是柔軟、無彈性且不可伸長,滑輪離兩物體足夠遠) (A) (B) (C) (D) (E)
9. 兩個相同的系統,每個系統由兩個質量均為m的相同物體組成,兩物間用彈性係數為k的彈簧相連。兩系統以大小相同的恆定速 度v在光滑平面在同一直線上相向運動,運動過程中兩系統中彈 簧均在正比限度內。某時刻,兩系統互相靠近的兩物間距離為L,如圖所示。試問經過多少時間,這兩物距離又等於L?設碰撞為完全彈性,碰撞是瞬間完成,四物在整段過程中均同一直線上。 (A)(B)(C)(D)(E)
13. 如圖所示,強度為1.2 x105V/m向上之均匀電場中,均勻磁場強度為0.10T向東。一α粒子 以速度vo = 2.4 x 106 m/s射入電磁場。關於a 粒子之軌跡,下例敘述何者正確? (A)若vo向北,則軌跡為直線(B)若vo向北, 則軌跡為圓(C)若vo向北,則軌跡為拋物線 (D)若vo向東,則軌跡為拋物線(E)若vo向東偏北30°,則軌跡為直線。
14. 如下圖所示,在一條直條上,七個帶電量為-Q, +Q的正負電荷交替排列,相鄰電荷間的距離為a。則將正中央的電荷移至無窮遠處(其他電荷不動)所需的能量為下列何者?(庫命常數設為k) (A)(B)(C)(D)(E)
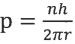
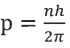
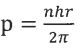
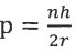
16. 在波耳的氫原子模型中,電子可視為以質子為中心做半徑為r的等速圓周運動。考量物質波模型,當電子處於容許的穩定狀態 時,軌道的周長必須符合圓周駐波條件。軌道半徑也隨著主量子數n而愈來愈大。設普朗克常數為h,當電子處於主量子數為n 的穩定軌道的情形之下,電子的動量p量值為何? (A) (B) (C) (D) (E)
17. 己知太陽光從太陽射到地球需8分20秒,地球公轉軌道可近似看成圓形,地球半徑為6.4 x 106m。試估算太陽質量M與地球質量 m之比值為多少? (A)3×105 (B)3.5×105 (C)4×105 (D)4.5×105 (E)5x105。
18. 鋁塊(比重2.7)懸於鋼線一端,如右圖。此鋼線的橫向駐波之基頻為300Hz,今若將鋁塊之51.3%體積浸入水 中,則其基頻變成若干Hz? (A)300 (B)290 (C)280 (D)270 (E)250
19. 一端封閉的細長玻璃管中,封入一長為acm的汞柱,保持水平時,被封入之空氣柱長有,如附圖所示,則當玻璃管口垂直 朝上時,被封入之空氣柱長為若干cm?(設大氣壓力為PcmHg) (A)(B)(C)(D)
21. 如圖所示,在Oxy平面的ABCD區域內,存在兩個大小均為E的均匀電場I和I(如圖中灰色區域),兩電場的邊界均是邊長為L 的正方形。不計粒子所受重力,在該區域AB邊的中點處由靜止 釋放電子,忽略重力的作用,則電子的運動軌跡與直線x=2L的交點,其y座標為? (A) (B) (C)L (D) (E)
23. 如附圖之正立方體中,每邊上之電阻均為r,若電流I自A點流入,由G點流出,則下列敘述何者錯誤? (A)B、D、E三點等電位(B)C、F、H三點等電位(C)自B點流至C點 的電流為(D)A、E間之電位差為 (E)A、G間之等效電阻為
24. 一光線由折射率之玻璃三稜鏡一側以入射角θ射入,而能在折射率n2的光纖管內連續全反射,若光纖外圍包以折射率 n1=1.5的介質,則最小入射角日為若干? (A)30° (B)37° (C)45° (D)60° (E)75°
27. 將一透鏡從中間分割成兩半,用此透鏡所成的兩點光源實像,可作為干涉實驗產生兩同相光源的一種方法,若透鏡焦距 4cm,一點光源距透鏡 5cm,兩半透鏡相距0.01cm,若屏距透鏡 220cm,則相鄰兩暗紋間距為? (A)0.1(B)0.2 (C)0.3 (D)0.4 (E)0.5 cm
28. 質量為m的一個人,以長為L、質量為M的鐵板的一端均匀加速 跑向另一端,並在另一端驟停,如圖所示。鐵板和水平地面間 的摩擦係數為μ,人和鐵板間的摩擦係數為μ',且μ'>>μ。求人 能使鐵板朝其跑動的方向移動的最大距離為? (A)(B)(C)(D)(E)
29. 波長6500 之紅光15.7莫耳被葉綠素吸收時,植物可經光合作用生成一莫耳葡萄糖。合成一莫耳葡萄糖所需之反應熱約為: (A)0.69千卡 (B)6900千卡 (C)6.9千卡 (D)690千卡
31. 如圖所示,電量為+q(黑)和-q(白)的點電荷分別位於正方體的頂點,正方體範圍內電場強度為零的點有? (A)體中心、各面中心和各邊中點(B)體中心和各邊中點(C)各面中心和各邊中點點(D)體中心和各面中心(E)體中心。
32. 如附圖半球形碗之半徑3r,內置二個半徑r之小球,球重W,當呈平衡時二球間之兩互作用力X及球對碗壁之作用力Y應為? (A)(B)(C)(D)(E)
34. 三塊長度均為60 cm,且完全相同的均質木塊,如圖疊放。若在三木塊仍可保持平衡的狀況下調整,使b達最大值,則a+b=? (A)60cm (B)75cm (C)80cm (D)85cm (E)90cm
36. 如下圖,一小球質量為m,沿一光滑圓形軌道(軌道半徑為R)由A點經O' 點滑至B點後出軌道作斜向拋體運 動,經拋體最高點點心點而落至D點, 試求(重力加速度為g,忽略一切阻力):小球在C點處之高度Hc為? (A)R (B)(C) (D) (E)
39. 如下圖所示,三塊完全相同的木塊,每塊長度均為L。其中兩塊重疊靜止放在光滑的平面桌面上,第3塊以速度vo與第2塊作完全非 彈性碰撞,碰撞後第1塊木塊恰好移到第3塊上相對靜止,並首尾對齊,請問vo應為多大?(設木塊間的摩擦係數為μ)。 (A)(B)(C)(D)(E)
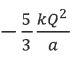
42. 如圖所示的電路中,電池內電阻可忽略不計,則下列敘述何者正確? (A) 安培(B) 安培(C) 安培(D)a、b兩點間電位差伏特(E)a、c兩黑點間電位差Vac = 2 伏特。
43. 將質量為m,長度為L且表面光滑的門板,一端固定在地面上,一端以斜角θ的斜靠在表面光滑半徑為R的半球上,半球質量為M,半球底面與地 面摩擦係數為μ,而達靜力平衡,如圖所示。下列敘述何者正確? (A) L > R cotθ(B)門板與半球之間的作用力大小為 (C)半球底面與地面正向作用力大小為 (D)半球底面與地面摩擦力大小為 (E)若不可使半球滑動,則摩擦係數μ至少為
44. 一物在x軸的-15 cm至15 cm之間,作有規律且週期為元秒的往返運動,若自平衡點開始向右運動,則: (A)x-t關係式為x=15sin2t (B)振幅為30 cm (C)位移為振幅一半時,加速度值為0.3 m/s2 (D) 當速率由30 cm/s運動至15 cm/s,至少需要秒(E)在端點時的加速度值最大,速率為0m/s。
45. 分子中含σ鍵及π鍵之數目何者正確? (A)CH3-C≡C-H中有4個σ鍵及2個π鍵(B)FN=NF 中有4個σ鍵及1個π鍵(C)CO2中有2個σ鍵及2個π鍵 (D)CH3-CCI = CCl - CH3中有11個σ鍵及1個π鍵 (E)CF2 = CF2中有5個σ鍵及1個π鍵
48. 水平面上有一寬度為L,長度很長的U型軌條,垂直軌條面有均匀磁場B向上。質量為m的金屬棒 ab橫跨於軌條上,受鉛直所吊質量M物體作用由靜止開始移動,如圖所示;不考慮細細與定滑輪間及棒與軌條間的摩擦力,全部迴線電阻R集中在cd邊,且棒ab移動一直維持與cd邊平行,不計空氣阻力,則下列有關的敘述何者正確? (A)由上往下俯視,迴線應電流為順時針方向 (B)最大應電流 (C)棒移動的終端速度Vt = (D)最大生熱功率P = (E)當棒移動的速度為v(v<終端速度vt)時,加速度a =
49. 如附圖所示為密閉容器內定量的單原子理想氣體的關係圖,ABCD為平行四邊形,的延長線通過原點,該氣體由狀態A經圖示的過程再回到A狀態,則下列敘述何者正確? (A)狀態A到狀態B的過程中,溫度下降(B)狀態B到狀態C的過程中,氣體分子平均動能減小(C)狀態C與狀態D,氣體分子的平均動能相同(D)狀態B到狀態C的過程中,有一時刻的體積與A狀態相同,此時刻分子的平均動能與D狀態相同(E)D狀態的分子平均動能為A狀態時的一半