所屬科目:鋼筋混凝土學與設計
試求滿足規範撓曲強度要求 的條件下,此梁可承受之設計載重 為若 干?
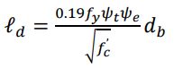
三、已 知 一 鋼 筋 混 凝 土 T 型 斷 面 如 下 圖 所 示 , 混 凝 土 規 定 抗 壓 強 度 。假設斷面設計剪力,試依我國規範設計剪力 鋼筋間距(取5 cm 的公倍數) 。
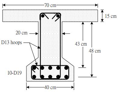
四、已知一鋼筋混凝土方形柱斷面配筋如下圖所示,混凝土規定抗壓強度 ,D25鋼筋規定降伏強度,其斷面分析 軸力與彎矩強度互制曲線如下圖所示(外互制曲線未考慮強度折減因 子,內互制曲線為考慮強度折減因子) 。試依我國規範分別計算圖中 A 點 的軸力以及 B 點的軸力和彎矩值。答案必須包含單位。