所屬科目:水文學
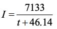
四、某一新開發之工業區,開發面積為200公頃(長2 km*寬1 km) ,為能順利 排水,在工業區中央道路下面規畫一下水道長900公尺,下水道管內水流 流速為1.5 m/sec,下水道之設計排洪流量為30 cms,假設逕流係數 C 為 7133 0.5,雨水到達下水道之時間為5 min,採用降雨強度-延時公式 (I:mm/hr, t:min) ,試問下水道在此一設計降雨強度情況之尖峰流量為 何?請問下水道會溢流嗎?有什麼辦法可以降低該暴雨下在開發工業 區所造成之下水道尖峰流量?(25分)