所屬科目:技師◆空氣動力學
(一)薄對稱機翼之升力曲線斜率(lift slope, dCl/dα)
四、請應用不可壓縮流之有限翼升力線理論(finite wing lifting line theory), 考慮下圖中三對馬蹄形渦流線(horseshoe vortex filaments),三對馬蹄形渦流線(∞AF∞、∞BE∞及∞CD∞)強度分別為,找出升力線沿-b/2<y<b/2 上每個線段 AB,BC,CD,DE,EF 的渦流線強度。 (20 分)
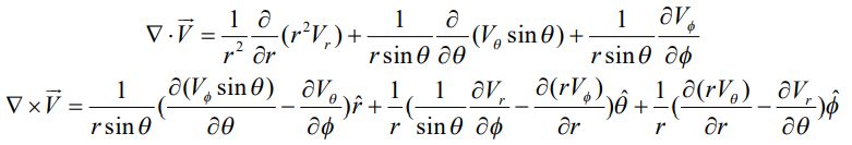
(一)考慮三維源流強度為 c,請寫出三維源流於球狀座標(spherical coordinate)系統的速度場
(二)請證明三維源流是否為不可壓縮流? 提示:球狀座標系統
(一)點 1 和點 2 之全壓是否相等?
(二)點 1 和點 2 之全溫是否相等?
(三)點 1 和點 2 之全密度是否相等?
(四)點 1 和點 2 之全焓是否相等?