所屬科目:教甄◆電腦科專業
7. 下列為Java程式語言的程式片段,請問執行這段程式之後,b的值為多少?
(A) b = 13 (B) b = 3 (C) b = 8 (D) b = 12
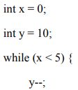
9.下列程式片段執行後,結果為何?
(A) 5,5 (B) 5,6 (C) 6,6 (D) 6,5
11. 請決定下列迴圈中指定敘述(sum = sum + 1;)執行的次數。(A) n (n-1) (B) n (n+1) (C) (n-1)2 (D) n2
5.硬碟分割之後,要決定檔案系統類型,不同的系統ID對應到不同的檔案系統 ,
(4) 下列為一節點的宣告
試撰寫一遞迴函式 Search(struct TreeNode *node, int x),用來查詢二元搜尋樹是否有資料x(若找到,回傳存著x的節點指標;否則回傳NULL) (9分)