所屬科目:教甄◆理化專業
56. The data in the table below were obtained for the reaction A + B → C. Which of the following is the rate law for the reaction? (A) Rate = k[A] (B) Rate = k[A][B] (C) Rate = k [A][B]2 (D) Rate = k[B] 7
59. The curve above is obtained for the reaction of an excess of CaCO3 with hydrochloric acid. How and why does the rate of reaction change with time?(A)(B)(C)(D)
60. Which energy value(s) will change when a catalyst is added? (A) I only (B) II only (C) II and III only (D) I, II and III
64. Which of the following statements is true for a monatomic ideal gas? (A) Cv < Cp (B) Cv > Cp (C) Cv = Cp (D) More information is needed
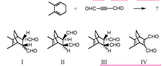
70. Which is the major product of the following reaction? (A) I (B) II (C) III (D) IV
71. A small object of mass m is suspended from a fixed point O by a light, inextensible cord. The object is raised until the cord is horizontal and then released. It moves in an arc of a circle as shown in the figure above. When it passes through its lowest position at point P, the tension in the cord is__________ . (A) 3mg. (B) 2mg. (C) 1mg. (D) 0mg.
73. Two identical objects A and B fall from rest from different heights to the ground. Assume the air resistance can be neglected. If object B takes twice as long as object A to reach the ground, what is the ratio of the heights (hA/hB) from which A and B fell? (A) hA/hB = (B) hA/hB = 1/2 (C) hA/hB = 1/4 (D) hA/hB = 1/8
77. A 4.00 kg block rests between the floor and a 3.00 kg block as shown in the figure below. The 3.00 kg block is tied to a wall by a horizontal rope. If the coefficient of static friction is 0.800 between each pair of surfaces in contact, what horizontal force F must be applied to the block to make it move? (A) 16.2 N (B) 23.5 N (C) 54.9 N (D) 78.4 N
80. A long straight wire is in the plane of a rectangular conducting loop of wire. The straight wire carries a constant current I as shown in the figure below and is moved towards the rectangular loop. While the wire is being moved towards the rectangular loop, the current in the loop ___________. (A) is always zero. (B) flows clockwise around the loop. (C) flows counterclockwise around the loop. (D) alternates, first one way then the opposite way around the loop. 11
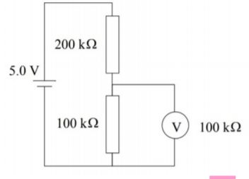
81. In the diagram below the voltmeter V has a resistance of 100 kΩ and is connected such as to measure the potential difference across the 100 kΩ resistor. The battery has an emf of 5.0 V and negligible internal resistance. The reading on the voltmeter will be__________ . (A) 4.0V. (B) 2.5V. (C) 1.0V. (D) 0V.
89. A 20.0 kg uniform plank is supported by the floor at one end and by a vertical rope at the other as shown in the figure below. A 50.0 kg mass person stands on the plank a distance three-fourths of the length plank from the end on the floor. What is the tension in the rope? (A) 165.5N (B) 265.5N (C) 365.5N (D) 465.5N