所屬科目:捷運◆電子學概要
1.下圖所示的理想運算放大器,屬於何種? (A)反相放大器 (B)非反相放大器 (C)微分器 (D)積分器
2.接續第 1 題,放大器增益為何? (A) (B) (C) (D)
4.下圖所示的理想放大器,Vin=20V,R1=10kΩ,當 Rf壞掉,變成斷路,電壓 Vo接近多少伏特? (A)0 (B)+∞ (C)-∞ (D) 以上皆非
5.下圖所示的理想放大器,Vin=20V,R1=10kΩ,當 Rf壞掉,變成短路,電壓 Vo接近多少伏特? (A)0 (B)+∞ (C)-∞ (D) 20V
6.下圖所示 BJT 電路,VCC=+20V,-VEE= -20V,VBE(ON)=0.7V,β=100。當 VC=+6V,IC=+2mA,電阻 RC為多少? (A)7KΩ (B)5KΩ (C)3KΩ (D)以上皆非
11.下圖所示矽二極體電路,輸出電壓 vo最高為多少伏特? (A)+0.7 (B)-0.7 (C)vi (D)0
13.下圖所示矽二極體電路,當右邊二極體壞掉,變成斷路,輸出電壓vo最低為多少伏特? (A)+0.7 (B)-0.7 (C)0 (D)vi
14.下圖所示為何種電路?(A)三相電路 (B)半波整流電路 (C)全波整流電路 (D)升壓電路
18.下圖所示二極體電路,當二極體 D2壞掉,變成斷路,下列何者正確? (A)vO電壓為 0 伏特 (B)vO電壓為 1.4 伏特 (C)正半週功能正常(D)負半週功能正常
19.下圖所示 BJT 放大器,有關電晶體敘述,下列何者正確?(A)操作於飽和區 (B)操作於主動區 (C)操作於三極管區(D)操作於截止區
21.接續第 19 題,通道調變電阻 ro,輸出端之小信號電阻 Rout為何? (A)RB//RC//ro (B)RB//ro (C)RC//ro (D)RB//RC
22.接續第 19 題,輸入端之小信號電阻 Rin為何? (A)RB//RC//rπ (B)RB//rπ (C)RC//rπ (D)RB//RC
25.下圖所示放大器電路,電晶體 Q1與 Q2,正確操作區域為何? (A)Q1飽和區,Q2三極管區 (B)Q1飽和區,Q2飽和區 (C)Q1三極管區,Q2三極管區 (D)Q1三極管區,Q2飽和區
30.下圖所示電路,操作於小信號共模模式,有關電晶體 Q1 與 Q2 源極端敘述,何者正確? (A)Q1虛接地,Q2虛接地 (B)Q1虛接地,Q2阻抗為 RSS (C)Q1阻抗為 RSS,Q2阻抗為 RSS (D)Q1阻抗為 2RSS,Q2阻抗為 2RSS
31.接續第 30 題,半電路之共模增益為何? (A) (B) (C)(D)
32.接續第 30 題,整體電路之共模增益 Acm=(vo2- vo1)/vicm為何? (A)0 (B) (C)(D)
33.放大器之共模拒斥比為何? (A)(B)(C)(D)
37.下圖所示的放大器輸出級,QN導通電壓 VBE(on)=+0.5V,QP導通電壓VBE(on)= -0.5V。當輸入 vI=0,電晶體狀態為何? (A)QN關閉、QP打開 (B)QN關閉、QP關閉 (C)QN打開、QP打開 (D)QN打開、QP關閉
39.接續第 37 題,輸出波型為何? (A) (B)(C) (D)以上皆非
40.下圖所示的串接放大器電路,忽略通道調變效應 (ro= ∞ ) ,VBE(on)=0.7V,VTH=25mV,求第二級 BJT 之基極端偏壓電流為多少? (A)1μA (B)10μA (C)100μA (D)以上皆非
43.下圖所示迴授放大器電路,放大器開路增益 Av= -100V/V,迴授電容 Cf =10pF,採用密勒定理(Millier’s theorem),將迴授電容 Cf 以電容 C1與 C2取代,如下圖所示,請問電容 C1為多少 pF? (A)1010 (B)101 (C)10.1 (D)1.01
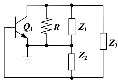
46.下圖所示考畢子(Colpitts oscillator)振盪器,Z1為哪一種元件? (A)電感 (B)電容 (C)電阻 (D)二極體
48.接續第 46、47 題,振盪頻率 fo為? (A) (B) (C) (D)
49.下圖所示下拉式數位邏輯網路,輸出 Y 與輸入 A、B、C、D 的布林代數式為何? (A) (B)Y=A•B•(C+D)(C) (D)Y=(A+B)+C•D
50.下圖所示數位邏輯網路,輸出 Y 與輸入 A、B 的布林代數式為何? (A) (B) (C) (D) 以上皆非