所屬科目:技檢◆測量-地籍測量-甲級
17.都市計畫樁所用的符號,下列何者用來表示道路中心樁用?(A) (B) (C) (D) 。
33.二等乙級精密導線測量,經方位角平差後位置閉合差或閉合差比數不得超過多少?(K為導線長度之公里數)(A)0.4m 或 1/10,000(B)0.2m或 1/20,000(C)0.8m或 1/5,000(D)0.08m或 1/5 0,000。
37.市地數值法複丈,檢測圖根及界址點之距離時,實測與由坐標反算之差,不得超過多少公尺 (註:S係邊長,以公尺為單位)?(A)0.04 +0.04(B)0.03 +0.08(C)0.006 +0.04(D)0.005 +0.04。
40.設 A、B 兩點之橫縱坐標分別為, ,則方位角 為何? (A)45°(B)225°(C)135°(D)315°。
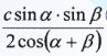
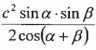
45.已知三角形兩角為∠α 及∠β,夾邊為 c,其面積計算公式為 (A) (B) (C) (D) 。