阿摩線上測驗
登入
首頁
>
技檢◆室內配線(屋內線路裝修)-丙級
> 110年 - 00700 室內配線-屋內線路裝修 丙級 工作項目 03:電工儀表裝置及使用#17433
110年 - 00700 室內配線-屋內線路裝修 丙級 工作項目 03:電工儀表裝置及使用#17433
科目:
技檢◆室內配線(屋內線路裝修)-丙級 |
年份:
110年 |
選擇題數:
57 |
申論題數:
0
試卷資訊
所屬科目:
技檢◆室內配線(屋內線路裝修)-丙級
選擇題 (57)
1. 低壓單相二線式 110V 之瓦時計,其電源非接地導線應接於 (A)1L 端 (B)2L 端 (C)1S 端 (D)2S 端
2. 電感的單位是 (A)法拉(B)瓦特(C)亨利(D)伏特。
3. 有 150 伏之直流電壓表其內阻為 170kΩ,希望能測到 300 伏時,需串聯多少 kΩ 之電阻? (A)100(B)170(C)240(D)340
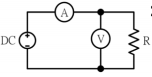
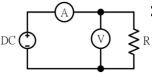
4. 利用電壓表、電流表,測量未知電阻,如屬低電阻時,為減少誤差宜採用下列何種接法?
(A)
(B)
(C)
(D)
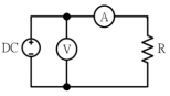
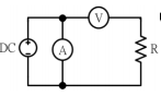
5. 利用電壓表、電流表,測量未知電阻,如屬高電阻時,為減少誤差宜採用下列何種接法?
(A)
(B)
(C)
(D)
6. 電表面板上設置鏡面@刻度下方成扇形弧狀@是為了避免下列何種誤差? (A)人為(B)儀器(C)環境(D)電路。
7. 新設屋內配線之低壓電路的絕緣電阻測定應測量 (A)導線間之絕緣電阻(B)導線與大地間之絕緣電阻(C)導線間及 導線與大地間之絕緣電阻(D)無硬性規定。
8. 低壓電路之絕緣電阻測定應使用 (A)三用電表(B)絕緣電阻計(C)鉤式電流表(D)接地電阻計。
9. 使用單相瓦特計兩只測量三相電功率,若 W1=W2 且均為正值,則此三相負載之功率因數為 (A)0.5(B)0.7(C)0.866(D)1
10. 指針型功率因數表之中央標度,其功率因數為 (A)超前 0.5 (B)滯後 0.5 (C)1 (D)0
11. 三用電表表頭有使指針迅速停止於正確位置之裝置為 (A)阻尼裝置(B)控制裝置(C)驅動裝置(D)軸承。
12. 以指針型三用電表測量電阻時,先作零歐姆歸零調整,其目的是在補償 (A)測試棒電阻(B)電池老化(C)指針靈敏度(D)接觸電阻。
13. 內阻各為 200kΩ 及 150kΩ 之兩台 200 伏特直流電壓表若串聯連接時,可測定之最高電壓為多少伏? (A)250(B)300(C)350(D)400。
14. 三用電表使用歐姆檔測試時,撥在下列何種檔位所消耗的電流最大? (A)R×1(B)R×10(C)R×1k(D)R×10k。
15. 三用電表使用完畢後,應將選擇開關撥在 OFF 或下列何種檔位的最大值位置? (A)DCV 檔 (B)ACV 檔 (C)DCmA 檔 (D)歐姆檔
16. 線電流為 10A 之平衡三相三線式負載系統,以鉤式電流表任鉤其中二線量測電流時,其值為 (A)0A(B)10A(C)10√3A(D)30A。
17. 相同額定電壓之 10W 及 100W 燈泡,10W 燈泡電阻為 100W 燈泡電阻多少倍? (A)1/10(B)1/5(C)1(D)10。
18. 直流電流表宜採用下列何者以擴大測量範圍? (A)比流器(B)分流器(C)倍增器(D)比壓器。
19. 鉤式電流表係利用比流器的原理製成,其一次側線圈為多少匝? (A)1(B)5(C)10(D)100。
20. 指針型三用電表中非線性刻度是 (A)交流電壓(B)交流電流(C)電阻(D)直流電流。
21. 三用電表測量電阻時,若範圍選擇開關置於 R×10,指針的指示值為 50Ω,則實際的電阻值為多少 Ω? (A)50(B)500(C)5000(D)50000。
22. 瓦特計之電流線圈,其匝數及線徑為 (A)匝數多線徑細(B)匝數少線徑細(C)匝數少線徑粗(D)匝數多線徑粗。
23. 在感應型瓦時計的鋁質圓盤上鑽小圓孔,其主要目的是 (A)幫助啟動(B)阻尼作用(C)防止圓盤之潛動(D)增加轉矩。
24. 感應型瓦時計之永久磁鐵作用為 (A)阻尼作用(B)增加轉矩(C)克服圓盤摩擦(D)防止圓盤之潛動。
25. 量測電阻值可選用 (A)電壓表(B)電流表(C)瓦時表(D)歐姆表。
26. 家庭用計算電費的電表是屬於 (A)電壓表(B)電流表(C)瓦時計(D)鉤式電流表。
27. 如下圖所示,檢流計 G 指示值為零時,Rx 等於多少歐姆?
(A)2(B)3(C)4(D)8
28. 內阻為 9Ω 之 100mA 直流電流表,如欲擴大量測範圍,測量 1A 之負載電流,則需並聯多少 Ω 之分流器? (A)99(B)19(C)10(D)1。
29. 如下圖所示,電流表內阻為 1Ω,其滿刻度電流為 10 毫安,當並聯 1/9Ω 的分流器時,可量測的線路電流最大 值為多少毫安?
(A)400(B)300(C)200(D)100。
30. 如圖
所示之電表表頭符號是 (A)動鐵型(B)動圈型(C)感應型(D)電動力計型。
31. 目前市面上所使用之指針型三用電表,其表頭是使用 (A)動圈型(B)整流型(C)感應型(D)動鐵型。
32. 如下圖所示三相三線平衡電路,I=80 安,CT 比值為 100/5A,則
指示值為多少安?
(A)0(B)3(C)4(D)5。
33. 比流器之負擔係以下列何者作表示? (A)伏特(B)安培(C)伏安(D)瓦特。
34. 在交流串聯電路中,如 R=3Ω,X=4Ω,則其總阻抗應為多少 Ω? (A)1(B)5(C)7(D)12。
35. 以 100/5 比流器附安培表測量某負載電流,如比流器二次側之電流值為 2 安,則負載電流為多少安? (A)10(B)20(C)30(D)40。
36. 比流器的二次額定電流為 5A,如其二次側回路的阻抗值為 0.4Ω 時,該比流器之負擔為多少伏安? (A)16(B)10(C)8(D)4
37. 惠斯登電橋中之檢流計其功用是 (A)記錄電流(B)積算電流(C)檢查電流(D)遙測電流。
38. 已知 R1 =2Ω,R2 =R3 =4Ω,則其並聯總電阻為多少 Ω? (A)1(B)2(C)4(D)8
39. 直流電壓 100 伏加在 20Ω 電阻之兩端,則流過電阻的電流為多少 A? (A)5(B)10(C)15(D)20。
40. 使用零相比流器(ZCT)之目的是 (A)量測大電流(B)量測大電壓(C)量測功率(D)檢出零相電流。
41. 配置於配電盤上之計器、儀表、電驛及儀表用變比器,其一次側接自對地電壓超過多少伏特以上線路時,其二 次側迴路均應加以接地? (A)100(B)150(C)300(D)600。
42. 惠斯登電橋平衡時,檢流計 G 應指示為何? (A)0(B)1(C)2(D)3。
43. 一般稱一度電是指 1kW 的負載使用多少小時? (A)1(B)2(C)5(D)10。
44. 瓦特表係測量負載之 (A)無效功率(B)有效功率(C)視在功率(D)功率因數。
45. 仟乏計係測量負載之 (A)視在功率(B)無效功率(C)功率因數(D)有效功率。
46. 瓦時計係測量負載之 (A)視在功率(B)無效功率(C)電能(D)功率因數。
47. 量測電流值可選用下列何種儀表? (A)伏特表(B)安培表(C)瓦特表(D)電度表。
48. 量測電壓值可選用下列何種儀表? (A)電度表(B)瓦特表(C)安培表(D)伏特表
49. 電度表計量為下列何者乘積? (A)電壓與電流(B)電壓與時間(C)電流與時間(D)電力與時間。
50. 瓦時計又可稱為 (A)瓦特表(B)電度表(C)伏特表(D)安培表。
51. 鉤式電流表主要用於量測 (A)交流電壓(B)交流電流(C)直流電壓(D)直流電流。
52. 傳統之指針型三用電表,所測量之交流電壓為 (A)最大值(B)瞬時值(C)平均值(D)有效值。
53. 電機工程中機械功率的單位為馬力,1 馬力等於多少瓦? (A)0.746(B)1(C)746(D)1000。
54. 有 n 個相同之電池,其串聯總電動勢為並聯總電動勢之多少倍? (A)n
2
(B)n(C)1/n(D)1/n
2
55. 電能的單位係以下列何者表示? (A)J(B)W(C)C(D)A。
56. 電功率單位係以下列何者表示? (A)J(B)W(C)C(D)A。
57. 電容的單位係以下列何者表示? (A)V(B)A(C)F(D)Ω。
申論題 (0)
相關試卷
114年 - 114-3 全國技術士技能檢定學科_丙級:00700 室內配線─屋內線路裝修#137559
114年 · #137559
114年 - 00700 室內配線─屋內線路裝修 丙級 工作項目 19:用電法規之認識 1-20(2025/10/07 更新)#131809
114年 · #131809
114年 - 00700 室內配線─屋內線路裝修 丙級 工作項目 18:檢查與故障排除 1-27(2025/10/07 更新)#131808
114年 · #131808
114年 - 00700 室內配線─屋內線路裝修 丙級 工作項目 17:漏電保護裝置 1-35(2025/10/07 更新)#131807
114年 · #131807
114年 - 00700 室內配線─屋內線路裝修 丙級 工作項目 16:特別低壓工程 1-14(2025/10/07 更新)#131806
114年 · #131806
114年 - 00700 室內配線─屋內線路裝修 丙級 工作項目 15:接地工程及接戶線工程 1-41(2025/10/07 更新)#131805
114年 · #131805
114年 - 00700 室內配線─屋內線路裝修 丙級 工作項目 14:電容器裝置 1-25(2025/10/07 更新)#131804
114年 · #131804
114年 - 00700 室內配線─屋內線路裝修 丙級 工作項目 13:變壓器裝置 1-9(2025/10/07 更新)#131803
114年 · #131803
114年 - 00700 室內配線─屋內線路裝修 丙級 工作項目 12:電熱類裝置 1-23(2025/10/07 更新)#131802
114年 · #131802
114年 - 00700 室內配線─屋內線路裝修 丙級 工作項目 11:電動機裝置 1-67(2025/10/07 更新)#131801
114年 · #131801