所屬科目:鋼筋混凝土學與設計
一、矩形斷面雙筋混凝土梁,如下圖所示,拉力鋼筋總面積為 ,壓力鋼筋總面積為 ,鋼筋降伏強度 ,混凝土抗壓強度 。求彎矩計算強度 及其對應的拉力筋應變、曲率、強度折減係數。
二、矩形斷面鋼筋混凝土簡支梁,如下圖所示,梁寬 b = 40 cm ,有效深度d = 53 cm ,梁跨度 7.5 m ,混凝土抗壓強度 ,在距離梁端90 cm 處的 o 點,承受靜載重及活載重所引致的剪力分別為及。在 o 點梁斷面配置間距 s = 12 cm 的 D13 垂直肋筋,D13 單根鋼筋面積為1.267 cm2,鋼筋降伏強度 。求 o 點斷面之設計剪力 及剪力計算強度,並檢核是否符合規範的安全需求。
三、鋼筋混凝土橫箍筋矩形斷面柱,如下圖所示,柱寬 b = 40 cm ,深度h = 50 cm ,混凝土抗壓強度 ,承受 x 向單軸彎矩及軸壓力,採用 5 根 D25 壓力鋼筋及 5 根 D25 壓力鋼筋,D25 單根鋼筋面積為 5.07 cm2,鋼筋降伏強度 。當此斷面承受軸壓計算強度 作用時,求其對應的彎矩計算強度 、中性軸、曲率及強度折減係數。
四、單筋矩形斷面鋼筋混凝土簡支梁,梁寬 b = 40 cm ,梁深 h = 60 cm ,有效深度 d = 53 cm,梁跨度 L = 8 m,承受靜載重 ,拉力鋼筋面積 ,混凝土抗壓強度 ,鋼筋降伏強度 ,已知混凝土未開裂之斷面慣性矩 。求開裂彎矩 、開裂斷面慣性矩 、靜載重作用之有效慣性矩 及其對應簡支梁中央點的即時撓度 。
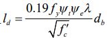
五、鋼筋混凝土橫箍筋矩形斷面柱,柱寬 b = 40 cm,深度 h = 40 cm,採用 D13圍束箍筋,如下圖所示,配置 3 根成束 D 25 縱向鋼筋, D 25 鋼筋直徑2.54 cm ,降伏強度 ,採用常重混凝土,其抗壓強度,依規範求縱向鋼筋拉力搭接長度。鋼筋受拉伸展長度之簡易估算式是