所屬科目:研究所、轉學考(插大)◆工程力學
(b) Determine the maximum normal stresses of aluminum and wood, separately. Note that the aluminum and wood are bonded completely, the Young's modulus of(15%)
(1)(5%)如(圖甲)所示,P作用在A。求t=0時,桿件之質心加速度及A點之反力。
(2)(20%)如(圖乙)所示,P作用在B點。求t=0時,桿件質質心加速度及A點之反力。
(1)如圖於容器表面黏貼2組應變計,應變計與軸向之傾斜角度均為60°,經量 測讀得該點應變為εa=+470μ,εb=+340μ,試求壓力容器材料之包松比v (Poisson's ratio)及集中力量P之值為何?(15%)
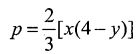
四、作用在板上之外力P(x,y)的分饰函數型式為kPa. 請求合成力及其作用在板上之位置。(25%)