所屬科目:研究所、轉學考(插大)◆工程數學
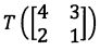
(a) Find (10%)
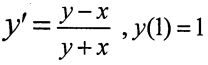
3. Solve the following initial value problem (Show the details of your work) (20%)
4. Find the Laplace transform of the following periodic function (Show the details of your work) (20%)
(a) Please find the Fourier transform of the f(t) signal given below. (10%)
(b) Derive the Fourier transform of the u(t) signal as shown in Figure 1. (10%)