阿摩線上測驗 登入

申論題資訊

試卷:110年 - 110 國立中央大學_碩士班招生考試_電機工程學系:工程數學#103875
科目:研究所、轉學考(插大)◆工程數學
年份:110年
排序:0

題組內容

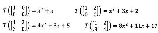
1. Let T: 61936e6c50bb0.jpgbe a linear transformation from the set of 2 x 2 matrices to the polynomials of degree 2, and

61936e9e4efc1.jpg

申論題內容

(b) Find a basis for the null space of T(10%)