所屬科目:研究所、轉學考(插大)◆工程數學
1.解下列微分反應方程式:(15%)
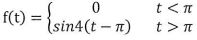
2.試求下列函數之拉普拉斯轉換:(15%)
(1)溫度梯度(∇T)(5%)
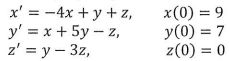
4.請以對角化法解下列微分聯立方程式:(15%)
(1)請計算出A、B與C濃度隨時間的變化趨勢。初始濃度(15%)
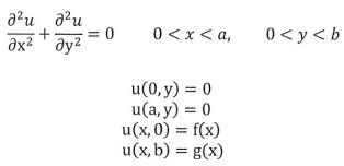
6.試以分離數法解微分方程式:(15%) 邊界條件: