所屬科目:研究所、轉學考(插大)◆統計學
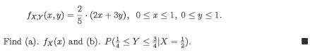
1. (20%) Suppose X and Y are jointly distributed according to the joint pdf
3. (20%) Find the method-of-moments estimates for pu and σ2 based on a random sample of size n taken from an N(u,o?) distribution.
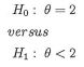
4. (20%) A random sample of size 2 is drawn from a uniform pdf defined over the interval [0,θ]. We wish to test by rejecting H0 when y1 + y2≤k. Find the value for k that gives a level of significance of 0.05.