所屬科目:研究所、轉學考(插大)◆工程數學
(b) y"+4y=g(x), y(0)=1,y'(0)=2 (10%) [Hint]: Solve this problem on two intervals, and then find a solution so that y and y' are continuous at x=π/2.
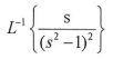
(a)(6%)
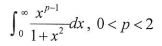
(o) (7%)
(C) (7%)
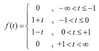
(a) Find the Fourier integral representation of the function f(t). (10%)
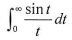
(b) Evaluate dw (5%)
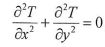
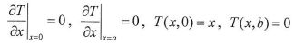
5.(Partial Differential Equation】(15%)
6. (Complex Analysis】 (10%) Evaluate the integral