阿摩線上測驗
登入
首頁
>
研究所、轉學考(插大)◆工程數學
>
110年 - 110 國立中山大學_碩士暨碩士專班招生考試_部分碩士班:工程數學#104438
> 申論題
題組內容
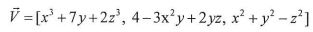
2.[Vector Calculus】(20%)
A steady fluid motion in space has velocity vector
(b) What is the outflow rate across the upper hemi-sphere x
2
+ y
2
+z
2
=4 、 z >0 and the lower hemi-sphere x
2
+y
2
+z
2
=4 、z<0,respectively. (10%)
相關申論題
(a) Solve x2 y"-xy-3y= x2 by undetermined coefficients and variation of parameters respectively. (10%)
#442166
(b) y"+4y=g(x), y(0)=1,y'(0)=2 (10%) [Hint]: Solve this problem on two intervals, and then find a solution so that y and y' are continuous at x=π/2.
#442167
(a) Evaluate the net outflow rate of V across a sphere x+ y +2'=4 (10%)
#442168
(a)(6%)
#442170
(o) (7%)
#442171
(C) (7%)
#442172
(a) Find the Fourier integral representation of the function f(t). (10%)
#442173
(b) Evaluate dw (5%)
#442174
5.(Partial Differential Equation】(15%) Solve the following PDE using the Method of Separation of Variables. =0,0<x<a, 0<y<b boundary conditions:
#442175
6. (Complex Analysis】 (10%) Evaluate the integral
#442176
相關試卷
110年 - 110 國立中央大學_碩士班招生考試_機械工程學系、機械工程學系(光機電工程)、能源工程研究所_(共同):工程數學#125285
110年 · #125285
110年 - 110 國立臺灣大學_碩士班招生考試_部分系所:工程數學(A)#125255
110年 · #125255
110年 - 110 台灣聯合大學系統_碩士班招生考試_電機科:工程數學(C)#125211
110年 · #125211
110年 - 110 台灣聯合大學_碩士班招生_電機類:工程數學C#124898
110年 · #124898
110年 - 台聯大_工程數學B#113346
110年 · #113346
110年 - 110 國立臺灣科技大學_碩士班招生試題_材料科學與工程系(乙組):工程數學#113288
110年 · #113288
110年 - 110 國立台北科技大學碩士班招生考試_自動化科技研究所:工程數學#111318
110年 · #111318
110年 - 110 國立臺灣大學_碩士班招生考試_部分系所:工程數學(D)(含線性代數、機率與統計)#111303
110年 · #111303
110年 - 110 台灣聯合大學系統碩士班招生考試_電機類:工程數學A#110408
110年 · #110408
110年 - 110 國立臺北科技大學_碩士班招生考試_機械工程系機電整合碩士班:工程數學#107430
110年 · #107430