所屬科目:研究所、轉學考(插大)◆統計學
2. A 95% confidence interval of a population mean is . Which of the following statement is the most correct one? (A) If random samples were drawn again and again, with computed each time, the population mean would lie in the interval 95% of the samples. (B)If = 0.5, the population mean would lie in the interval [0.1,0.5] with 95% probability. (C) If = 0.55, the population mean might still lie outside the interval [0.05,0.55)(D) If= 0.56, the population mean would ie in the interval [0.03, 0.56] greater than 95% probability. (E) a and c.
4. Consider the following hypothesis test about population mean: H0 :μ = 3, H1 : μ > 3. Which of the following results gives most supportive evidence to reject the hypothesis? (A) Sample mean equals to 5 and standard error equals to 1. (B)Sample mean equals to 5 and standard error equals to 2. (C) Sarple mean equals to 3.5 and standard error equals to 1. (D) Sample mean equals to 2 and standard error equals to 1.(E) Sarple mean equals to 2 and standard error equals to 0.5.
5. Suppose we want to test H0 :μ= μo against H1:μ ≠ μ0: (A) The power function of the test is a function of tu and describes the probability of rejecting H0. (B)The maximun probability of comnitting a Type I error is called the power of the test.(C) The minimum probability of committing a Type II error is called tbe size of the test.(D) When the power function is evaluated atμo, the value equais to the probability of committing a Type II error.(E)None of the above is correct.
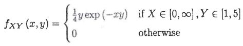
6. Consider two continuous random variables (X,Y) with X [0,∞] and Y [1,5]. The joint density function of (X,Y) isWhat is the conditional density function of X given Y = 1 if X [0,∞]? (A) (B);(C)exp(-x);(D);(E) .
7. Consider an experiment having two outcomes: success with probability p = 0.12 and failure with probability 1 - p = 0.88. Suppose we independently conduct the experiment n times and estimate p with What is the minimum value of n that will make standard deviation of no greater than 0.01? (A) 30;(B)1056;(C)33;(D)n does not matter here,(E)None of the above is correct.
8. A population is composed of 5 numnbers: 2, 4, 6, 8, 10. Let u and a denote mean and standard deviation of the population, and denote mean and standard deviation of the sample mean from the population. Which of the following statement is the most correct one? (A) μ = 6 ,σ = 3 16(B)(C) = 283;(D)μ= 6, σ = 2.83(E).=μ, σ = 3.16.
9. If we calculate sample mean from the population in question 8, with sample size equal to 2. Let denote the theoretical density and cumulative distributions of the sarple mean, respectively. Which of the following statement is the most correct one? (A)(B)(C) (D)(E)
10. If we calculate a sample mean from the population in question 8, with sarple size equal to 2, Letdenote mean and standard deviation of the sample mean. Which of the following statement is the most correct one? (A)(B)(C)(D)=5.5, = 1.89; (E)
11. Consider two discrete random variables (X,Y) with X {0,1,2}and Y {0,3}. The joint probability mass function of (X,Y) isWhat is the conditional expectation of X given Y = 0? (A) 0.5;(B)1;(C)(D)(E) None of the above.
12. Let X be a positive random variable whose expectation equals to 5. Consider the probabilities that: P(X <10) and P(X ≥ 8). Which of the following statement is the most correct one? (A)P(X ≥ 8)>0.7;(B)P(X<10)>0.5(C)P(X<10)<0.3;(D) P(X<10) < 0.4; (E) P(X<8)<0.2.
13. Suppose thatΩ ={a,b, c,d,e} and A and B are subsets of Ω. It is known that the complemnent of A, Ac = {a,b,c} and the complement of B, Bc = {b,c,d}, What is the complement of A or? (A) {d};(B) {b,c};(C) {a,e};(D){a,b,c,d};(E) {a,d,e}.
14. Let X be a continuous randorn variable with density function Let Y =. What is the density function of Y if Y ? (A)(y2-1)2y;(B)(y2-1)2y;(C)(y-1)2y;(D)(E)(y-1)2.
16. Let X be a random variable whose expectation equals to 3 and variance equals to 5. Consider the probabilities: P (|X -3 |<10) and P (|X -3|≥8). Which of the following statement is not the correct one? (A)P(|X-3|<10)>0.75;(B)P(|X-3|≥8)≥0.1(C).P(|X-3|)≥8)<0.05;(D)P(|X-3|≥8)≥0.06;(E)P(|X-3|<10)>0.8.
17. Consider n samples (X1, X2,…, Xn) independently drawn from a distribution with meanμ = 0 and variance σ2 = 1. The following estimator is used to estimate σ2 : What is the minimumn value of n that makes bias ofno greater than 0.01? (A) 30;(B)7;(C) is a biased estimnator and so increasing n has no effect on reducing the bias; (D) n does not matter here;(E) is a biased estimator in frite sample but increasing n can reduce the bias.
19. In country A, according to past experiencc, 40% of video gare consoles sold were PS4, 10% were xbox I and 50% were Switch. To maintain the inventory of each type of video game consoles, Tony conducts a survey and gather a random sample of 100 sales of video game consoles and finds that 30 of them are PS4, 30 are xbox I and 40 are switch. To test whether past pattern of sales of video gamne consoles still prevails, Tony uses the chi-square test with 1% level of significance. Let denote the ath quantile of a chi-square random variable with degree of freedom k: (A) The value of the test statistic is 44.5 and the critical value used should be (0.99). (B)The value of the test statistic is 17.83 and the critical value used should be (0.995)(C) The value of the test statistic is 42 and the critical value used should be (0.99). (D)The value of the test statistic is 45.33 and the critical value used should be (0.99).(E)The value of the test statistic is 45.33 and the critical value used should be (0.995)
22. A manager wants to see whether the proportion of acceptable products from supplier A, PA iS greater than for supplier B, p8. The manager draw nA = 123 random sample from A's and nB = 94 samples from B's products. She finds that aeceptable rates of samples for products from A and B are = 0.79, respectively. The manager plans to compute a test statistic and compare it with critical value from a standard normal distribution with significance level 5%: (A) The value of the test statistic is 1.575 and the critical value is 1.645. (B) The value of the test statistic is 3.061 and the critical value is 2.33. (C) The value of the test statistic is 0.984 and the critical value is 1.96.(D) The value of the test statistic is 3:33 and the critical value is 2.33.(E)The value of the test statistic is 1.775 and the critical value is 1.645.
23. Consider an experiment having two outcores: success (probability p = 0.1) and failure (probabil- ity 1 -p = 0.9). Suppose the experiment is independently conducted n times and p is estimated withWhat is the minimumn value of n that will make - p≤ 0.001? (A) 30;(B)6;(C)90;(D)n does not matter bere;(E)None of the above is correct.
25. In country B, men's longevity are investigated and the following results are found: 1. Probability that a man lives at least 70 years is 77%; 2. Probability that a man lives at least 80 years is 48%. What is the conditional probability that a man's age is at least 80 years old given that he bas just celebrated his 70th birthday? (A)(B)0.48;(C)0.77;(D)1;(E)None of the above is correct. e, a and c.