所屬科目:研究所、轉學考(插大)◆生物化學
1.若α-D-glucopyranose的比旋光度=+110,β-D-glucopyranose的比旋光度= +20,試問α-D-glucopyranose和-glucopyranose為何種組成比例時,混合物的比旋 光度為=+50(10分)
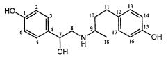
2.如下圖為萊克多巴胺(ractopamine)的化學結構,請寫出(a)化合物的分子式,(b)結構 上哪些位置為立體中心,(c)該結構最多有幾種立體異構物,(d)平面結構一樣的立體异 構物在動物體內可能引發不同的藥效,原因為何?(10分)
(a)出ω3,20:5所表示的脂肪酸構造,