所屬科目:教甄◆數學
1. 下列關於數列與級數的述敘,選出正確的選項。 (A)一個數列有可能同時是等比數列也是等差數列 (B)一個數列有可能不是等比數列也不是等差數列 (C)若發散,則 必發散 (D)若收斂,則 必收斂 (E)若收斂,則必收斂
2. 在複數平面上, z , z2 , z3 構成一個直角三角形的三個頂點,且|z| = 2 。請問下列哪些選項,可以是主輻角 Arg( z) 的值? (A) π (B) (C) (D) (E)
3. 點A(e,1)在函數 f ( x) = ln x 的圖形上,圓Q (Q為該圓的圓心)與 y = f ( x) 的圖形在A 點有共同的切線,且圓 Q 又與x軸相切於B點。選出正確的選項。 (A) 以A為切點的切線斜率為 (B) 直線的方程式為 y -1 = e( x - e) (C) Q點落在拋物線 y = ( x - e)2 + 上 (D) Q點在的中垂線上 (E) B點坐標為 ()
4. 在可行解區域上,目標函數 P( x, y) = (a ≥2b > 0) 的最大值為1。 選出正確的選項。 (A) (B) (C) (D) 5a + b 的最小值為60 (E) 5a + b 的最小值,發生在 a = 2b 時
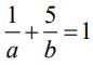
2. 求方程式 的所有解x。
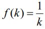
4. 已知 f (x) 為10次多項式,且滿足 ,k=1,2,3,... ,11 ,求 f (12) 之值。
5. 已知A為的子集合,且A中任兩個元素之和都不為6的倍數,求集合A的元素個數之最大值。
6. 已知 △OAB 內接於拋物線 y2= 8 x ,其中 O 為原點,且此內接三角形的垂心恰為拋物線的焦點,求 △OAB 的外接圓之圓心坐標。
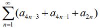
7. 已知 n 為正整數,且方程式 的10個複數根為(k= 1, 2,3, 4,5) , 求 。(以 n 表示)
8. 如下圖,ABCDE為一正五邊形,令 △ABE 為三角形ABE的面積。 試求:正五邊形 ABCDE 的面積與三角形 ABE 的面積之比值,即 之值。
2. 在坐標平面上, A, B, C 三點形成直角三角形,其中 ∠C=90° , =60,又過 A 與 B 兩點的中線方程式分別為 y= x+ 2021 與 y = 2x+110。試求三角形 ABC 的面積。
3. 如右圖所示,正三角形ABC的邊長為1,且D、E分別為邊上的點。將三角形ADE沿線段 摺疊時, 頂點A恰落在邊上,試問在此條件下,線段的最 小值等於多少?
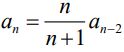
(1)證明:, n ≥2 。
(2)試求 的值。