所屬科目:電工學(電工原理)
4.如【圖 4】所示,當 I1 電流等於 10 安培時,I2 電流應為多少安培? (A) 4A (B) 6A (C) 8A (D) 10A
6.有關最大功率轉移定理之敘述,下列何者錯誤? (A)負載有最大功率轉移時,其效率也是最大效率 (B)負載有最大功率轉移時,其負載電阻等於戴維寧等效電阻 (C)負載有最大功率轉移時,其負載電阻等於諾頓等效電阻(D)負載有最大功率轉移時,其最大功率為
8.有一線圈如【圖 8】所示,通入直流電源後,變為一電磁鐵,則此時線圈左邊產生的極性為何?線圈右方的永久磁鐵會如何移動? (A) N 極、永久磁鐵會被電磁鐵吸引,向左移動 (B) S 極、永久磁鐵會被電磁鐵排斥,向右移動 (C) S 極、永久磁鐵會被電磁鐵吸引,向左移動 (D) N 極、永久磁鐵會被電磁鐵排斥,向右移動
10. RC 串聯直流電路,若電阻 R=50KΩ,時間常數為 2.5 毫秒,則電容器 C 之值為何? (A) 0.05μF (B) 0.125μF (C) 0.5μF (D) 1.25μF
11.如【圖 11】所示電路,當開關閉合很長時間後(已到達穩態),電流 I 之值為何? (A) 2 mA (B) 3.2 mA (C) 4 mA (D) 8 mA
15.有一交流電路,v(t)=100sin(314t+10°),i(t)=5sin(314t-50°),則此電路之平均功率 P 等於下列何者? (A) 125W (B) 250W (C) 500W (D) 1000W
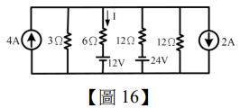
16.如【圖 16】所示電路,請問電流 I 應為多少安培? (A) 0.5A (B) 1.5A (C) -0.5A (D) -1.5A
18.如【圖 18】所示,請求出值為何? (A)27μF (B) (C)60μF (D)
19.將兩個電感器 L1、L2 串聯,若為串聯互助時,總電感量為 10H,若為串聯互消時,總電感量為 4H,請求兩電感之間的互感量為何? (A) 0.5 H (B) 1.5 H (C) 2.5 H (D) 3 H
20.如【圖 20】所示電路,I1 及 I2 的值分別為何? (A) 10A、10A (B)、10A (C)、10A (D) 40A、30A
22.請求【圖 22】中的戴維寧等效電壓及戴維寧等效電阻分別為多少? (A) (B) (C)(D)
23.如【圖 23】所示電路,電阻兩端電壓為 120V,電感器電壓為 80V,=24Ω,則下列敘述何者正確? (A)電路平均功率為 2000W (B)線路功率因數為 0.6 滯後 (C)電容器兩端電壓=160V (D)線路電流為 10A
29.如【圖 29】所示電路,開關 S 開啟時,12V 所提供的功率,為開關 S 閉合時的幾倍? (A) 1 倍 (B) 2 倍 (C) 2/3 倍 (D) 3/2 倍
30.如【圖 30】所示 RC 電路,當 S 開關閉合後,其時間常數為何? (A) RC/4 (B) RC (C) 2RC (D) 4RC
33.有一電阻 R=30Ω 與一電容抗=40Ω 之電容器組成的 RC 並聯交流電路,若外加電源電壓為 v(t)=100sin(100t+30°)V,則流經電容器電流的最大值為何? (A) 1.25A (B) (C) 2A (D) 2.5A
34.如【圖 34】所示之 RC 串聯電路,若將電源頻率 f 調低,則下列敘述何者正確? (A) 變小 (B) I 變大 (C)(D)之相位差 θ 變大
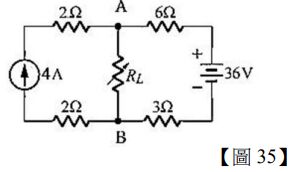
35.如【圖 35】所示電路,請求為多少 Ω 時可獲得的最大功率為何? (A)=3 Ω (B)=6 Ω (C)=9 Ω (D)=13 Ω
36.如【圖 36】所示,S 接通瞬間,i 為多少安培( A )? (A) 2A (B) 2.5A (C) 5A (D) 10A
38.如【圖 38】所示,其中 R=1kΩ、C =6μF,則欲等電容 C 充電至 100V,至少需要多少時間? (A) 6ms (B) 12ms (C) 30ms (D) 36ms
39.如【圖 39】所示之電感串聯電路,L1=15H,L2=10H,L3=5H,三者之互感均為 2H,請求總電感為多少亨利(H)? (A) 28 H (B) 26 H (C) 24 H (D) 22 H
42.如【圖 42】所示之串並聯電路,請求該電路之總阻抗 ̅為多少? (A) 6 + j4.5 Ω (B) 6 – j4.5 Ω (C) 4.5 + j6 Ω (D) 4.5 – j6 Ω
44.兩電壓,兩電壓之相位關係為何? (A) v2 的相位角與 v1 同相 (B) v2 的相位角超前 v1為 30° (C) v2 的相位角落後 v1為 60° (D) v2 的相位角落後 v1為 90°
45.如【圖 45】所示,三相△連接電路,請求線電流約為多少安培?(A)(B)22A (C)38A (D)
48.如【圖 48】所示之電路,E=100V,R=10kΩ,L=50mH。t=0 秒時,開關 S 閉合,若電感 L 在開關閉合前無任何儲能,則 t=10μs 時,此電感兩端電壓降值為何?(註 :) (A) 13.5V (B) 36.8V (C) 63.2V (D) 86.5V