所屬科目:技檢◆測量-地籍測量-甲級
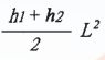
3. 不平行四邊形之宗地,從對角線分為二個三角形,三角形之共同底邊為 L,兩高為 h1、h2(如下圖)。則其面積計算式為何?(A) (B) (C) (D) 。
12. 三角形 A、B、C,已知 ,今量得 A 之對邊 a =50.99m,B 之 對邊 b=39.62m,則 等於多少?(A)53.00m(B)45.00m(C)-53.00m(D)-45.00m。
42. 繪製都市計畫樁位圖時,公共設施用地界樁之符號為何?(A) (B) (C) (D) 。
48. 三角形 A,B,C 之坐標分別為 、 m),問∠ACB 等於多少?(A)75°57 '49.5"(B)45°02 '10.5"(C)14°02 '10.5"(D)57°57 '49.5"。
52. 依辛浦生(Simpson)公式計算拋物線與其弦所圍之面積,等於其外接平行四邊形面積之若干 〈如下圖〉?(A)三分之一(B)二分之三(C)三分之二(D)二分之一。