所屬科目:技檢◆室內配線(屋內線路裝修)-丙級
7. 屋內配線設計圖專用雙插座之符號為(A) (B) (C) (D) 。
8. 如下圖電路所示,電路中所能產生之動作為(A)寸動控制(B)能 ON,能 OFF(C)能 ON,不能 OFF(D)能 O FF,不能 ON。
27. 如下圖所示,若加直流電 100V 則有 12.5A 電流通過,若加交流電(正弦波)100V 則有 10A 的電 流通過,則該電路之電阻(R)及感抗值(X)各為多少 Ω?(A)8,6(B)5,12(C)12,16(D)10,6。
29. 如下圖,你知道這是什麼標章嗎?(A)環保標章(B)省水標章(C)節能標章(D)奈米標章。
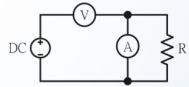
34. 利用電壓表、電流表,測量未知電阻,如屬高電阻時,為減少誤差宜採用下列何種接法? (A) (B) (C) (D) 。
35. 屋內配線設計圖之符號 為(A)電路至配電箱(B)線管上行(C)出線口(D)線管下行。
38. 屋內配線設計圖接地型雙插座之符號為(A) (B) (C) (D) 。
44. 屋內配線設計圖電風扇之符號為(A) (B) (C) (D) 。
72. 屋內配線設計圖隔離開關之符號為(A)(B)(C)(D)
76. 屋內配線設計圖之符號 為(A)時控開關(B)安培計用切換開關(C)拉線開關(D)控制開關。